Introduction
The mass of an atomic nucleus is a fundamental property that reflects the total energy of this quantum many-body system, which is composed of two types of fermions: protons and neutrons. Systematic and accurate knowledge of nuclear masses has wide applications in many areas of subatomic physics, ranging from nuclear structures to nuclear astrophysics and fundamental interactions and symmetries, depending on the mass precision achieved [1, 2]. For example, based on nuclear masses, well-known shell structure and pairing correlations were discovered in stable nuclei [3], and the disappearance of the magic neutron number N = 20 [4] and a new shell closure at N = 32 [5] were revealed in exotic neutron-rich nuclides. In addition to the mapping of the nuclear-mass surface [6-8], considerable attention has been paid to the precise mass measurements of exotic nuclei in specific mass regions, such as in the vicinity of doubly magic nuclei far from stability and the waiting-point nuclei in the rapid proton and rapid neutron capture processes.
Owing to more than a century of effort, the masses of approximately 2550 nuclides [9, 10] have been measured, as shown in Fig. 1. Currently, nuclides with unknown masses lie far from the valley of βstability, close to the borders of nuclear existence. Such nuclides are inevitably short-lived and have very low production yields, making their mass measurements extremely challenging. The performance of mass spectrometry of short-lived nuclei must improve in terms of sensitivity and precision.
-202412-小份文件打包/1001-8042-35-12-004/alternativeImage/1001-8042-35-12-004-F001.jpg)
Penning-trap mass spectrometry is widely used to deliver precise nuclear masses. Penning traps have produced numerous important results [11, 12]. However, in this application, a certain restriction threshold exists for the half-lives and/or production rates of the investigated nuclides. In recent years, multireflection time-of-flight spectrometry has emerged as a powerful technique for studying nuclei with short half-lives and low production rates [5, 13, 14]. However, in addition to the measurement time itself, applying these devices requires preparation steps such as cooling and bunching of low-energy radioactive species [15]. At high energies, mass spectrometers coupled directly to in-flight separators do not require much time for ion preparation. Magnetic-rigidity time-of-flight (Bρ-TOF) mass spectrometry, implemented at radioactive-ion beamlines, has produced the masses of nuclides farthest away from the stability valley [16, 17], albeit with modest precision.
Isochronous mass spectrometry (IMS) in heavy-ion storage rings is an efficient and fast experimental technique [18] that is well suited for mass measurements of exotic nuclei with short lifetimes down to several tens of microseconds. Since the pioneering experiments conducted at the ESR in GSI, Darmstadt [19, 20], IMS has been established at the experimental cooler storage ring (CSRe) at the Institute of Modern Physics (IMP), Lanzhou [21, 22] and at the Rare RI Ring (R3) at the RIKEN Nishina Center in Wako/Japan [23].
IMS is typically used for mass measurements of heavy neutron-rich nuclides produced by the in-flight fission of uranium beams at the ESR [24, 25] and R3 [26-28]; see the review articles and references cited in [29, 15].
In the experiments, the isochronous mode of the storage ring was applied to achieve a relatively high resolving power for ions fulfilling the isochronous condition. However, for other ions that do not fulfill isochronicity, the mass resolution deteriorates rapidly. To improve the mass-resolving power over a broad m/q range, magnetic-rigidity tagging (Bρ-tagging) IMS was realized at the FRS-ESR facility at GSI [30, 31, 24] by inserting metal slits at the second dispersive focal plane of the FRS [32]. In the CSRe, an in-ring slit is used to restrict the magnetic-rigidity (Bρ) acceptance of the stored fragments [33]. However, both approaches have the significant limitation of losing transmission efficiency, which is not tolerable for mass measurements of exotic nuclei with very low production yields.
Recently, a new technique, termed Bρ-defined IMS, has been developed [34, 35], and a mass-resolving power of 1.3×105 (full width at half maximum; FWHM) can be achieved at the edges of the mass-to-charge ratio spectrum without losing any ions of interest [34]. Using this technique, the masses of 22Al, 62Ge, 64As, 66Se, and 70Kr were measured for the first time, and the masses of 65As, 67Se, and other 21 nuclides were redetermined with improved accuracy. Based on these newly measured masses, investigations on different issues regarding nuclear structures and nuclear astrophysics based on these newly measured masses are also presented in this article.
Bρ-defined IMS
Principle
In conventional IMS, the ion-revolution times Texp are measured using a single TOF detector [36, 37]. The mass-to-charge ratios of the ions, m/q, are derived according to [19, 20]:
In real experiments, the momentum acceptance of the storage ring should be considered, and the dispersed Bρ and C of the stored ions should follow the Bρ(C) function. The relative slope of Bρ(C)
Owing to the momentum dispersion of the stored ions, the variation in the revolution times is as follows:
To further reduce the influence of momentum dispersion and achieve broadband high mass-resolving power, two TOF detectors are installed in one of the straight sections of the ring such that both the revolution times Texp and velocities vexp of the stored ions [39] can be measured simultaneously. Consequently, the orbital length of each ion Cexp=Texp×vexp can be deduced directly.
Using ions with known masses as calibrants, a one-to-one correspondence of
Technique details
The experiments were conducted at the accelerator complex of the IMP in Lanzhou, China. The nuclides of interest were produced by fragmenting the primary beams at a speed of >0.7× vc on 10∼15 mm 9Be production targets. The produced nuclides were selected using the in-flight fragment separator, the second Radiactive Isotope Beam Line in Lanzhou (RIBLL2) [43]. They were then injected into and stored in the CSRe.
Figure 2 presents a schematic of the CSRe with the three TOF detectors noted in this figure. The detector TOF0 was used in the conventional IMS. The detectors TOF1 and TOF2 were used in Bρ-defined IMS. Each detector consists of a thin carbon foil (ϕ=40 mm, 18 μg/cm2 thick) and a set of microchannel plates (MCP) [36, 37].
-202412-小份文件打包/1001-8042-35-12-004/alternativeImage/1001-8042-35-12-004-F002.jpg)
When an ion passes through the carbon foil, secondary electrons are released from the foil surface and guided to the MCP by perpendicularly arranged electric and magnetic fields. Compared to the previous detector TOF0, the electric-field strengths in TOF1 and TOF2 increased from 130 to 180 V/mm to improve the time resolution of the detector, as shown in Fig. 3 (a). A time resolution of 18.5±2 ps was achieved in the offline tests of TOF1 and TOF2 [37]. Fast timing signals from the two MCPs were recorded using a single oscilloscope to avoid the jitter effects of two or more electronic instruments [45]. The sampling rate was set to 50 GHz.
-202412-小份文件打包/1001-8042-35-12-004/alternativeImage/1001-8042-35-12-004-F003.jpg)
To achieve Bρ-defined IMS, a new isochronous mode setting was specially designed at the CSRe [44]. Figure 3 (b) shows the dispersion function
In real experiments, γt is not constant for all orbit lengths owing to high-order magnetic fields from imperfect storage-ring facilities [47, 44, 48]. A minor modification of the quadrupole and sextupole fields was performed to reduce the variation in γt as a function of the orbit length C [44], as shown in Fig 3 (c). However, the variation in γt within the momentum acceptance cannot be eliminated completely in a real experiment. The residual nonlinear effects in the γt(C) curve should be considered in data analysis.
Velocity measurement of stored ions
Figure 4 shows the passage times texp of a single 45V23+ ion as a function of revolution number N for TOF1 and TOF2 [39]. The slope
-202412-小份文件打包/1001-8042-35-12-004/alternativeImage/1001-8042-35-12-004-F004.jpg)
Data analyses of conventional IMS usually show that the flight time of an ion is a smooth function of the revolution number. Considering the energy loss in a thin carbon foil, texp(N) can be described by a third-order polynomial function:
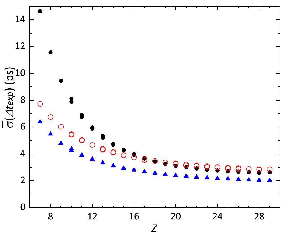
A straightforward method to deduce Δtexp is to use the existing coincident timestamps from both TOF detectors in the same revolution. Alternatively, a fitting procedure using Eq. (6) and Eq. (7) have been performed, and Fig. 5 shows the average uncertainties of Δtexp as a function of the atomic number Z using these three methods.
The smallest mean value of σ(Δtexp) has been obtained using Eq. (7). This indicates that considering and addressing the effects of betatron oscillations can significantly improve the precision of the Δtexp values as well as the ion velocities. The mean uncertainties exhibited a decreasing trend from lighter to heavier ions. This can be understood if the Z-dependence of the detection efficiency of the detectors is considered; that is, a higher detection efficiency yields lower statistical errors in Δtexp. The lowest mean uncertainties of Δtexp were within the range of 2.0-6.4 ps, corresponding to a relative precision of (2.2-7.2)×10-5 with respect to the average TOF between the two TOF detectors of
Determination of mass values
Using ions with known masses and the measured revolution times Texp and velocities vexp, the magnetic rigidity Bρexp=m/q× (γ v)exp and orbit length
-202412-小份文件打包/1001-8042-35-12-004/alternativeImage/1001-8042-35-12-004-F006.jpg)
For an ideal storage ring with a completely constant γt within the momentum accpetance, the one-to-one correspondence of Bρ~C should follow the simple form:
In real experiments, the nonlinear effects in the γt(C) curve shown in Fig. 3 (c) should be considered. Because these residual nonlinear effects may differ in each experiment, Eq. (8) is modified by including additional terms. For example,
The instability of magnetic fields is one of the most significant challenges in precision mass measurements at the CSRe storage ring. Over the past decade, extensive efforts have been dedicated to both hardware improvements [50] and data-analysis enhancements [51, 52], aimed at mitigating the impact of magnetic-field drift. Using data from the two TOF detectors, we developed a more precise correction method [35].
The changes in the dipole magnetic fields led to vertical drifts in the measured Bρ(C) curve. This phenomenon can be clearly observed in Fig. 7 (a), where the fit residuals
-202412-小份文件打包/1001-8042-35-12-004/alternativeImage/1001-8042-35-12-004-F007.jpg)
Improvements compared with the conventional IMS
Figure 8 shows part of the m/q spectrum of Ref. [53]. The peaks of the nuclei with nearly identical m/q ratios may overlap. To obtain the m/q values from the overlapping peaks, we introduce a Z-dependent parameter,
-202412-小份文件打包/1001-8042-35-12-004/alternativeImage/1001-8042-35-12-004-F008.jpg)
To demonstrate the increasing resolving power of the new approach compared to the conventional IMS, we transformed the m/q spectrum into a new revolution-time spectrum [34, 35], Tfix, at a fixed magnetic rigidity Bρfix = 5.4758 Tm (the corresponding orbit length is Cfix = 128.86 m), as follows:
Clearly, the two states in 24Al, separated by a mass difference of 425.8(1) keV [9], cannot be resolved in the Texp spectrum, whereas the two peaks can be separated in the Tfix spectrum. The standard deviations of the T peaks derived from the corresponding spectra are shown in Fig. 10.
The standard deviations, σT, of the T peaks in the original Texp spectrum exhibit a parabolic dependence on m/q. σT approaches a minimum at approximately 2 ps for a limited number of nuclides (isochronicity window). In the spectrum obtained using the new Bρ-defined IMS technique, σT=0.5 ps was achieved in the isochronicity window, corresponding to a mass-resolving power of 3.3 × 105 (FWHM). At the edges of the spectrum, a mass-resolving power of 1.3× 105 (FWHM) can be achieved, which is an improvement by a factor of approximately 8 compared to the conventional method. We emphasize that this was done without reducing the Bρ acceptance of either the ring or transfer line. The right scale in Fig. 10 shows the corresponding absolute m/q precision. We emphasize that an m/q precision of 5 keV is obtained for a single stored ion.
Using the Tz=-1/2 nuclides to calibrate the spectrum, the redetermined masses of the Tz=-1 nuclides are compared with well-known literature values in Fig. 11[35]. The results obtained using Texp as in conventional IMS are shown in Fig. 11 (a), where the systematic deviations for the Tz=-1 nuclides can be clearly observed. Such systematic deviations are caused mainly by the different momentum distributions and energy losses of the two series of nuclides with Tz=-1/2 and -1 [49]. Not only did the statistical uncertainties significantly decrease, but the systematic deviations demonstrated in Fig. 11 (a) are completely removed over a wide range of revolution times.
-202412-小份文件打包/1001-8042-35-12-004/alternativeImage/1001-8042-35-12-004-F011.jpg)
Recent results
Several experiments on Bρ-defined IMS using 58Ni, 86Kr, 78Kr, and 36Ar as primary beams were performed. Some newly determined masses have also been reported [57, 53, 34, 35, 58]. Analysis of the data on neutron-rich 86Kr fragments and part of the data on neutron-deficient 36Ar fragments is still in progress. Figure 12 summarizes the published results in the chart of nuclides. The masses of five short-lived neutron-deficient nuclides were measured for the first time, and 23 nuclides were remeasured with higher precision. In the following section, we discuss the application of our measurements to the study of nuclear astrophysics and nuclear structures.
-202412-小份文件打包/1001-8042-35-12-004/alternativeImage/1001-8042-35-12-004-F012.jpg)
GS 1826-24 X-ray Burst and Neutron Stars
Type-I X-ray bursts occur on the surfaces of neutron stars, accreting hydrogen- and helium-rich matter from companion stars in a stellar binary system [59]. The burst is powered by a sequence of nuclear reactions, termed the rapid-proton-capture nucleosynthesis process (rp process) [60], which is a sequence of proton captures, and β decays along the proton drip line. Figure 13 shows a nuclear chart around the rp-process waiting point 64Ge. Measurements of neutron-deficient 78Kr projectile fragments at the CSRe provided the masses for 63Ge, 64,65As, and 66,67Se using Bρ-defined IMS, and all the relevant separation energies around the waiting point 64Ge were determined [57].
-202412-小份文件打包/1001-8042-35-12-004/alternativeImage/1001-8042-35-12-004-F013.jpg)
The impact of these new masses was investigated using state-of-the-art multizone X-ray burst simulations. Simulated X-ray burst light curves are shown in Fig. 14. The new nuclear masses, particularly the less-bound 65As and more-bound 66Se, result in a stalled rp-process at the 64Ge waiting point. The new distributions of the elements produced through the rp-nucleosynthesis (“ashes”) are also modified, as shown in the inset of Fig. 14. The ash abundances of Urca nuclides are particularly notable [66, 67]. A 17% increase in the A=64 ash mass fraction results in increased electron-capture heating, and a 14% decrease in the A=65 ash mass fraction resulted in reduced Urca cooling, implying a somewhat warmer accreted neutron-star crust.
-202412-小份文件打包/1001-8042-35-12-004/alternativeImage/1001-8042-35-12-004-F014.jpg)
The X-ray-burst luminosity measured by a telescope is directly proportional to the emitted light flux and inversely proportional to the square of the distance d2 and surface gravitational redshift (1+z)2 of the burst corrected by the electromagnetic-wave transport efficiency [68-70]. Our new light curve enables the setting of new constraints on the optimal d and (1+z) parameters that fit the observational data [57]. The results are presented in Fig. 15(a). The increased peak luminosity requires distance d to be increased by ∼0.4 kpc from approximately 5.8 kpc to approximately 6.2 kpc. The rp-process stalled at 64Ge leads to extended hydrogen burning in the light curve, thereby extending the burst tail. Consequently, the modelled light curve must be less time-dilated, thereby reducing (1+z).
-202412-小份文件打包/1001-8042-35-12-004/alternativeImage/1001-8042-35-12-004-F015.jpg)
The constraints on (1+z) can be further converted into limits on the neutron-star compactness (MNS/RNS) following the approach introduced in [71]. The general relativistic neutron-star mass MGR and radius RGR are determined using
Recently, the newly determined compactness
Thermonuclear reaction rate of 57Cu(p,γ)58Zn in the rp process
In addition to research around the waiting-point 64Ge, the newly determined mass of the neutron-deficient nuclide 58Zn was used to re-evaluate the thermonuclear rate of the 57Cu(p,γ)58Zn reaction around the waiting-point 56Ni [74]. The re-evaluated thermonuclear rate was higher than the most recently published rate by a factor of up to three in the temperature range of 0.2 GK≤T≤1.5 GK. One-zone post-processing type-I X-ray-burst calculations were performed. Figure 16 shows the fractional difference in abundance as a function of mass number. The updated rate and new mass of 58Zn resulted in noticeable abundance variations for nuclei with A = 56-59 and a reduction in A = 57 abundance by up to 20.7%.
Residual Proton–Neutron Interactions in the N=Z Nuclei
The binding energy of a nucleus, B(Z,N), is derived directly from the atomic masses and embodies the sum of the overall interactions inside the nucleus. Binding-energy differences can isolate specific classes of interactions and provide insights into nuclear structural modifications [1, 15]. An important mass filter, the double binding-energy difference denoted as δVpn, has been used to isolate the residual proton-neutron (pn) interactions [77-79] and to sensitively probe a variety of structure phenomena, such as the onset of collectivity and deformation [80-83], changes to the underlying shell structure [84], and phase-transitional behavior [81, 85]. Conventionally, δVpn values are derived as follows [79]:
Measurements of neutron-deficient 78Kr projectile fragments at the CSRe provided masses for 58Zn, 60Ga, 62Ge, 64As, 66Se, and 70Kr Tz=-1 nuclides as well as 61Ga, 63Ge, 65As, 67Se, 71Kr, and 75Sr Tz=-1 nuclides [53]. The newly measured masses provide the δVpn values using Eq. (13) for nuclei with
-202412-小份文件打包/1001-8042-35-12-004/alternativeImage/1001-8042-35-12-004-F017.jpg)
Our results show that an increasing trend in
To understand the bifurcation of
As shown in Fig. 17(c), our calculations with 3NF excellently reproduced the experimental δVpn with N = Z + 2 nuclei, demonstrating the capability of the ab initio approach. For N = Z nuclei, the calculations reproduced the
Recently, a shell-model-like approach based on relativistic density-functional theory was established [102] by simultaneously treating the neutron-neutron, proton-neutron, and proton-proton pairing correlations both microscopically and self-consistently. The calculated δVpn values reproduced the observed bifurcation in Fig. 17 well. The mechanism for this abnormal bifurcation was owing to the enhanced proton–neutron pairing correlations in the odd-odd N=Z nuclei compared with the even-even ones.
Mirror Symmetry of Residual Proton–Neutron Interactions
In addition to the δVpn of N = Z nuclei, mirror symmetry of the residual p-n interactions on both sides of the Z = N line [56] were observed. Such mirror symmetry was observed many years ago by Jänecke [103] and was recently used by Zong et al. [104] to make high-precision mass predictions for neutron-deficient nuclei.
Figure 18 shows the energy differences were defined as
-202412-小份文件打包/1001-8042-35-12-004/alternativeImage/1001-8042-35-12-004-F018.jpg)
Δ(δVpn) values scatter around zero within an error band of ±50 keV for the A > 20 mirror pairs, indicating that the mirror symmetry of δVpn holds well in this mass region. Notably, the mass of 55Cu was redetermined with significantly improved precision, and its value was 172 keV more bound than the previous value [105]. Using this new mass, the calculated δVpn value of 56Cu was approximately equal to that of 56Co. Consequently,
In the lighter-mass region with
Ground-state mass of 22Al and test of ab initio calculations
The level structure of mirror nuclei is commonly addressed and discussed based on the isospin symmetry, which is a basic assumption in the fields of particle and nuclear physics. However, this symmetry is approximate and the corresponding deviation is called isospin symmetry breaking (ISB) [106-110]. Studies on mirror nuclei offer profound insights into the origin of ISB and further information about nuclear structures, as well as facilitate the evaluation of nuclear models [106-113]. A key quantity in the investigation of ISB in mirror nuclei is the mirror-energy difference (MED) [114, 106, 115], which is defined as follows:
22Al is the lightest-bound Al isotope with Tz=-2. Two low-lying 1+ states in odd-odd 22Al were identified via β-delayed one-proton emissions from 22Si [112]. However, their excitation energies have not been determined precisely because of the lack of an experimental ground-state mass of 22Al. Recently, the ground-state mass excess of 22Al was measured for the first time using Bρ-defined IMS as 18103(10) keV [58], which is 97(400) keV smaller than the extrapolated ME=18200(400) keV in AME2020 [9]. The new mass excess value allowed the determination of the excitation energies of the two low-lying states,
-202412-小份文件打包/1001-8042-35-12-004/alternativeImage/1001-8042-35-12-004-F019.jpg)
The MEDs of 22Al-22F mirror nuclei were calculated using an ab initio VS-IMSRG approach, employing several sets of nuclear forces derived from chiral effective-field theory [58]. The large uncertainties in the MEDs obtained in Ref. [112] prevented the benchmarking of the theoretical calculations. The uncertainties of the MEDs obtained in this study are significantly reduced, and the results show that the MED of the
Test of Isospin Multiplet Mass Equation
The mass of a set of isobaric analog states (IASs) can be described by the well-known quadratic isospin multiplet mass equation (IMME) [117]:
Measurements of neutron-deficient 58Ni projectile fragments at the CSRe provided the masses for 41Ti, 45Cr, 49Fe, 53Ni, and 55Cu using Bρ-defined IMS [35]. Using these new masses, the four experimental masses of the T = 3/2 IASs were completed; thus, the validity of the quadratic form of the IMME could be tested, reaching the heaviest A = 55 isospin quartet. The mass data were fitted to the cubic form of the IMME by adding the
Compared with previous results in Ref. [118], we conclude that the trend of a gradual increase in d with A in the fp shell [118] was not confirmed, at least at the present level of accuracy. Given that all the extracted d coefficients are compatible with zero, the quadratic form of the IMME is valid for the cases investigated here. Figure 20 shows the d values obtained from the theoretical calculations [121]. The predicted nonzero d coefficients for these T = 3/2 isospin quartets cannot be discarded owing to large experimental uncertainties.
Ground-state mass of 70Br
The masses of the Tz=-1 nuclides 58Zn, 60Ga, 62Ge, 64As, 66Se, and 70Kr deduced from measurements of neutron-deficient 78Kr projectile fragments at the CSRe are used to investigate the systematics of b and c coefficients of the quadratic form of the IMME up to the upper fp-shell nuclei [122].
Using the new mass results reported in Ref. [53] and the literature values in the latest atomic-mass evaluation (AME2020) [9], the b and c coefficients are deduced according to Eqs. (18) up to A = 70, as shown in Fig. 21 [122].
-202412-小份文件打包/1001-8042-35-12-004/alternativeImage/1001-8042-35-12-004-F021.jpg)
Figure 21 (a) shows that the deduced b coefficients follow the smooth trend established in the lighter-mass region. The obtained c coefficients exhibit regular zig-zag staggering with changes in A, as shown in Fig. 21 (b). However, the regular staggering trend breaks at A = 70 and the derived c coefficient becomes negative. This anomaly was analyzed and attributed to the presently adopted mass of 70Br in the latest atomic-mass evaluation (AME2020).
The smooth trend of the b coefficients and the regular staggering pattern of the c coefficients can be deduced using the mass formula given in Ref. [123] for the members of an isobaric multiplet characterized by A, T, and Tz:
As reported in Refs. [126, 127], a combination of the theoretical calculations of Coulomb-energy differences (CEDs) and experimental masses of neutron-rich nuclei provides reliable masses for proton-rich nuclei. The CED between the Tz = 0 and Tz =+1 isobaric pairs was extracted using
-202412-小份文件打包/1001-8042-35-12-004/alternativeImage/1001-8042-35-12-004-F022.jpg)
The ΔCEDs follow very good linear behavior within each shell closure, while exhibiting a large deviation at A = 70 between A = 58 and A = 74.
Under the assumption of a smooth variation in the CED with changing mass number A, the ground-state mass excess of 70Br is deduced to be -51934(16) keV, which is 508(22) keV more bound than the adopted value [122]. Using the new ME of 70Br, the recalculated c coefficient is obtained using Eq. (18), and the results are shown in Fig. 21 (b). The new c coefficient now fits well into the systematics and is consistent with a simple theoretical estimate. This supports our recommended ME value of 70Br obtained from the systematics of the Coulomb-energy differences.
Summary and outlook
In summary, significantly improved isochronous mass spectrometry, the Bρ-defined IMS, has been pioneered at the experimental cooler-storage ring CSRe. Owing to the simultaneous measurement of the revolution time and velocity of every stored short-lived ion, the sensitivity and precision of the mass measurements significantly increased. The time sequences of the two TOF detectors were unique for each ion. Only a few tens of signals were sufficient for unambiguous ion identification. This unparalleled property of the Bρ-defined IMS makes it, in principle, a background-free technique. The overall measurement time was less than 1 ms, indicating that all β-decaying nuclei could be studied without lifetime restrictions. High mass-resolving power was achieved over the entire Bρ acceptance of the storage ring, implying that a large range of m/q values can be covered in a single-machine setting. This is a remarkable achievement, which indicates that the storage of a single short-lived (T1/2≥100 μs) ion is sufficient for mass determination with ≈5q keV precision. Thus, Bρ-defined IMS is an ideal technique for high-precision mass measurements of the most exotic nuclides, which have the shortest half-lives and lowest production yields.
Using Bρ-defined IMS, the masses of 22Al, 62Ge, 64As, 66Se, and 70Kr were measured for the first time, and the masses of 41Ti, 43V, 45Cr, 47Mn, 49Fe, 51Co, 53Ni, 55Cu, 44V, 46Cr, 48Mn, 50Fe, 52Co, 54Ni, 56Cu, 58Zn, 60Ga, 61Ga, 63Ge, 66As, 67Se, 71Kr, and 75Sr were re-determined with improved accuracy. Given these newly determined masses, interesting issues in nuclear astrophysics and nuclear structures have been investigated.
The merits of the novel IMS are demonstrated by the considerably increased sensitivity and accuracy of its measurements. A Spectrometer Ring (SRing) [129] at the high-intensity Heavy-Ion Accelerator Facility (HIAF) [130, 131, 128] is under construction, as shown in Fig. 23. Bρ-defined IMS is planned for application in the SRing, and the distance between the two TOF detectors in the straight section will be ∼39 m, which is ∼2.0 times the distance in the CSRe. Assuming that the time resolution of the TOF detectors is the same as that used in the CSRe, in principle, the precision of the velocity measurement would be increased by a factor of approximately 2.0, and the mass precision would be further improved. Two isochronous mode settings with
-202412-小份文件打包/1001-8042-35-12-004/alternativeImage/1001-8042-35-12-004-F023.jpg)
High-accuracy mass spectrometry with stored ions
. Physics Reports 425, 1-78 (2006). https://doi.org/10.1016/j.physrep.2005.10.011Recent trends in the determination of nuclear masses
. Rev. Mod. Phys. 75, 1021-1082 (2003). https://doi.org/10.1103/RevModPhys.75.1021Direct measurement of the masses of 11Li and 26-32Na with an on-line mass spectrometer
. Phys. Rev. C 12, 644-657 (1975). https://doi.org/10.1103/PhysRevC.12.644Masses of exotic calcium isotopes pin down nuclear forces
. Nature 498, 346-349 (2013). https://doi.org/10.1038/nature12226Schottky mass measurements of stored and cooled neutron-deficient projectile fragments in the element range of 57≤Z≤84
. Nuclear Physics A 677, 75-99 (2000). https://doi.org/10.1016/S0375-9474(00)00304-3Mass mapping of a new area of neutron-deficient suburanium nuclides
. Nuclear Physics A 697, 92-106 (2002). https://doi.org/10.1016/S0375-9474(01)01233-7First results from the CARIBU facility: Mass measurements on the r-process path
. Phys. Rev. Lett. 111,The AME 2020 atomic mass evaluation (II)
. tables, graphs and references*. Chinese Physics C 45,The NUBASE2020 evaluation of nuclear physics properties
. Chinese Physics C 45,Ion traps in nuclear physics-recent results and achievements
. Progress in Particle and Nuclear Physics 91, 259-293 (2016). https://doi.org/10.1016/j.ppnp.2016.08.001Penning-trap mass measurements in atomic and nuclear physics
. Annual Review of Nuclear and Particle Science 68, 45-74 (2018). https://doi.org/10.1146/annurev-nucl-102711-094939Mass measurements of 99-101In challenge ab initio nuclear theory of the nuclide 100Sn
. Nature Physics 17, 1099-1103 (2021). https://doi.org/10.1038/s41567-021-01326-9Mass measurements of neutron-deficient Yb isotopes and nuclear structure at the extreme proton-rich side of the N=82 shell
. Phys. Rev. Lett. 127,Masses of exotic nuclei
. Progress in Particle and Nuclear Physics 120,Nuclear mass measurements map the structure of atomic nuclei and accreting neutron stars
. Phys. Rev. C 101,Mapping of a new deformation region around 62Ti
. Phys. Rev. Lett. 125,Storage ring mass spectrometry for nuclear structure and astrophysics research
. Physica Scripta 91,First isochronous mass spectrometry at the experimental storage ring ESR
. Nuclear Instruments and Methods in Physics Research Section A: Accelerators, Spectrometers, Detectors and Associated Equipment 446, 569-580 (2000). https://doi.org/10.1016/S0168-9002(99)01192-4Direct mass measurement of bare short-lived 44V, 48Mn, 41Ti and 45Cr ions with isochronous mass spectrometry
. Physics Letters B 586, 27-33 (2004). https://doi.org/10.1016/j.physletb.2004.02.014Accurate mass measurements of exotic nuclei with the CSRe in Lanzhou
. International Journal of Mass Spectrometry 349-350, 162-171 (2013). https://doi.org/10.1016/j.ijms.2013.04.029Precision mass measurements of short-lived nuclides at HIRFL-CSR in lanzhou
. Frontiers of Physics 13,First demonstration of mass measurements for exotic nuclei using Rare-RI Ring
. JPS Conf. Proc. 35,Nuclear structure studies of short-lived neutron-rich nuclei with the novel large-scale isochronous mass spectrometry at the FRS-ESR facility
. Nuclear Physics A 812, 1-12 (2008). https://doi.org/10.1016/j.nuclphysa.2008.08.013New results from isochronous mass measurements of neutron-rich uranium fission fragments with the FRS-ESR-facility at GSI
. The European Physical Journal A 52, 138 (2016). https://doi.org/10.1140/epja/i2016-16138-6First application of mass measurements with the Rare-RI Ring reveals the solar r-process abundance trend at A=122 and A=123
. Phys. Rev. Lett. 128,Recent achievements at the Rare-RI Ring, a unique mass spectrometer at the RIBF/RIKEN
. The European Physical Journal A 59, 90 (2023). https://doi.org/10.1140/epja/s10050-023-01009-4Isochronous mass spectrometry at the riken rare-ri ring facility
. Phys. Rev. C 110,Mass and lifetime measurements of exotic nuclei in storage rings
. Mass Spectrometry Reviews 27, 428-469 (2008). https://doi.org/10.1002/mas.20173Precision experiments with relativistic exotic nuclei at GSI
. Journal of Physics G: Nuclear and Particle Physics 31, S1779-S1783 (2005). https://doi.org/10.1088/0954-3899/31/10/072A new experimental approach for isochronous mass measurements of short-lived exotic nuclei with the FRS-ESR facility
. Hyperfine Interactions 173, 49-54 (2006). https://doi.org/10.1007/s10751-007-9541-4Secondary exotic nuclear beams
. Annual Review of Nuclear and Particle Science 45, 163-203 (1995).Improving the resolving power of Isochronous Mass Spectrometry by employing an in-ring mechanical slit
. Nuclear Instruments and Methods in Physics Research Section B: Beam Interactions with Materials and Atoms 463, 138-142 (2020). https://doi.org/10.1016/j.nimb.2019.06.007Bρ-defined isochronous mass spectrometry: An approach for high-precision mass measurements of short-lived nuclei
. Phys. Rev. C 106,Bρ-defined isochronous mass spectrometry and mass measurements of 58Ni fragments
. The European Physical Journal A 59, 27 (2023). https://doi.org/10.1140/epja/s10050-023-00928-6A high performance Time-of-Flight detector applied to isochronous mass measurement at CSRe
. Nuclear Instruments and Methods in Physics Research Section A: Accelerators, Spectrometers, Detectors and Associated Equipment 624, 109-113 (2010). https://doi.org/10.1016/j.nima.2010.09.001Time-of-flight detectors with improved timing performance for isochronous mass measurements at the CSRe
. Nuclear Instruments and Methods in Physics Research Section A: Accelerators, Spectrometers, Detectors and Associated Equipment 756, 1-5 (2014). https://doi.org/10.1016/j.nima.2014.04.051In-ring velocity measurement for isochronous mass spectrometry
. Phys. Rev. Accel. Beams 24,Simulations of the isochronous mass spectrometry at the HIRFL-CSR
. Physica Scripta T166,A data analysis method for isochronous mass spectrometry using two time-of-flight detectors at CSRe
. Chinese Physics C 39,An improvement of isochronous mass spectrometry: Velocity measurements using two time-of-flight detectors
. Nuclear Instruments and Methods in Physics Research Section B: Beam Interactions with Materials and Atoms 376, 311-315 (2016). https://doi.org/10.1016/j.nimb.2016.02.006The heavy ion cooler-storage-ring project (HIRFL-CSR) at Lanzhou
. Nuclear Instruments and Methods in Physics Research Section A: Accelerators, Spectrometers, Detectors and Associated Equipment 488, 11-25 (2002). https://doi.org/10.1016/S0168-9002(02)00475-8Experimental investigation of the transition energy γt in the isochronous mode of the HIRFL-CSRe
. Nuclear Instruments and Methods in Physics Research Section A: Accelerators, Spectrometers, Detectors and Associated Equipment 908, 388-393 (2018). https://doi.org/10.1016/j.nima.2018.08.059First isochronous mass measurements with two time-of-flight detectors at CSRe
. Physica Scripta T166,Characterization of a double Time-of-Flight detector system for accurate velocity measurement in a storage ring using laser beams
. Nuclear Instruments and Methods in Physics Research Section A: Accelerators, Spectrometers, Detectors and Associated Equipment 931, 52-59 (2019). https://doi.org/10.1016/j.nima.2019.03.058A method to measure the transition energy γt of the isochronously tuned storage ring
. Nuclear Instruments and Methods in Physics Research Section A: Accelerators, Spectrometers, Detectors and Associated Equipment 898, 111-116 (2018). https://doi.org/10.1016/j.nima.2018.04.056Precision measurement of the transition energy t versus magnetic rigidity for storage-ring isochronous mass spectrometry
. Nuclear Instruments and Methods in Physics Research Section A: Accelerators, Spectrometers, Detectors and Associated Equipment 1027,Experimental Study on the Systematic Deviation in the Conventional Isochronous Mass Spectrometry
. Nuclear Physics Review 40, 181-187 (2023). https://doi.org/10.11804/NuclPhysRev.40.2022078Implementation of a dipole magnet power supply control system to improve magnetic field stability at the csre storage ring facility for precision mass measurement
. Nuclear Instruments and Methods in Physics Research Section A: Accelerators, Spectrometers, Detectors and Associated Equipment 1049,Particle identification and revolution time corrections for the isochronous mass spectrometry in storage rings
. Nuclear Instruments and Methods in Physics Research Section A: Accelerators, Spectrometers, Detectors and Associated Equipment 941,Precision isochronous mass measurements at the storage ring CSRe in Lanzhou
. Nuclear Instruments and Methods in Physics Research Section A: Accelerators, Spectrometers, Detectors and Associated Equipment 654, 213-218 (2011). https://doi.org/10.1016/j.nima.2011.07.018Mass Measurement of Upper fp-Shell N=Z-2 and N=Z-1 Nuclei and the Importance of Three-Nucleon Force along the N=Z Line
. Phys. Rev. Lett. 130,Charge resolution in the isochronous mass spectrometry and the mass of 51Co
. Nuclear Science and Techniques 32, 37 (2021). https://doi.org/10.1007/s41365-021-00876-0Charge and frequency resolved isochronous mass spectrometry and the mass of 51Co
. Physics Letters B 735, 327-331 (2014). https://doi.org/10.1016/j.physletb.2014.06.046Isochronous mass measurements of Tz=-1 fp-shell nuclei from projectile fragmentation of 58Ni
. Phys. Rev. C 98,Mass measurements show slowdown of rapid proton capture process at waiting-point nucleus 64Ge
. Nature physics 19, 1091-1097 (2023). https://doi.org/10.1038/s41567-023-02034-2Ground-state mass of 22al and test of state-of-the-art ab initio calculations
. Chinese Physics C 48,X-ray bursts and neutron-star thermonuclear flashes
. Nature 270, 310-314 (1977). https://doi.org/10.1038/270310a0Explosive hydrogen burning
. The Astrophysical Journal Supplement Series 45, 389-420 (1981). https://doi.org/10.1086/190717Neutron-star Radius Constraints from GW 170817 and Future Detections
. Astrophys. J. Lett 850,Neutron Skins and Neutron Stars in the Multimessenger Era
. Phys. Rev. Lett. 120,Constraining the Mass and Radius of Neutron Stars in Globular Clusters
. Mon. Not. R. Astron. Soc. 476, 421 (2018). https://doi.org/10.1093/mnras/sty215A NICER View of the Massive Pulsar PSR J0740+6620 Informed by Radio Timing and XMM-Newton Spectroscopy
. Astrophys. J. Lett. 918,Upper Limits Set By Causality on the Rotation and Mass of Uniformly Rotating Relativistic Stars
. Astrophys. J. 488, 799 (1997). https://doi.org/10.1086/304714Strong neutrino cooling by cycles of electron capture and β-decay in neutron star crusts
. Nature 505, 62-65 (2014). https://doi.org/10.1038/nature12757Nuclear reactions in the crusts of accreting neutron stars
. The Astrophysical Journal 859, 62 (2018). https://doi.org/10.3847/1538-4357/aabfe0Angular Distribution of Radiation from Low-Mass X-Ray Binaries
. Astroph. J 324, 995 (1988). https://doi.org/10.1086/165955Anisotropy of X-Ray Bursts from Neutron Stars with Concave Accretion Disks
. Astroph. J. 819, 47 (2016). https://doi.org/10.3847/0004-637X/819/1/47The Regulated NiCu Cycles with the New 57Cu(p,γ)58Zn Reaction Rate and Its Influence on Type I X-Ray Bursts: the GS 1826-24 Clocked Burster
. The Astrophysical Journal 929, 73 (2022). https://doi.org/10.3847/1538-4357/ac4d89Influence of Nuclear Reaction Rate Uncertainties on Neutron Star Properties Extracted from X-Ray Burst Model–Observation Comparisons
. The Astrophysical Journal 872, 84 (2019). https://doi.org/10.3847/1538-4357/aafedeImpact of the newly revised gravitational redshift of x-ray burster gs 1826-24 on the equation of state of supradense neutron-rich matter
. (2024). arXiv:2404.01989Central speed of sound, the trace anomaly, and observables of neutron stars from a perturbative analysis of scaled Tolman-Oppenheimer-Volkoff equations
. Phys. Rev. D 108,Thermonuclear reaction rate of 57Cu(p,γ)58Zn in the rp process
. Phys. Rev. C 109,Determining the rp-process flow through 56Ni: Resonances in 57Cu(p,γ)58Zn identified with GRETINA
. Phys. Rev. Lett. 113,End Point of the rp Process on Accreting Neutron Stars
. Phys. Rev. Lett. 86, 3471-3474 (2001). https://doi.org/10.1103/PhysRevLett.86.3471Empirical proton-neutron interaction energies. linearity and saturation phenomena
. Physics Letters B 227, 1-5 (1989). https://doi.org/10.1016/0370-2693(89)91273-2Empirical p-n interactions: global trends, configuration sensitivity and N=Z enhancements
. Physics Letters B 243, 1-6 (1990). https://doi.org/10.1016/0370-2693(90)90945-3Test of Wigner’s Spin-Isospin Symmetry from Double Binding Energy Differences
. Phys. Rev. Lett. 74, 4607-4610 (1995). https://doi.org/10.1103/PhysRevLett.74.4607Effective Interactions and Coupling Schemes in Nuclei
. Rev. Mod. Phys. 34, 704-722 (1962). https://doi.org/10.1103/RevModPhys.34.704Towards a unified microscopic description of nuclear deformation
. Physics Letters B 69, 385-388 (1977). https://doi.org/10.1016/0370-2693(77)90825-5Possible unified interpretation of heavy nuclei
. Phys. Rev. Lett. 54, 1991-1994 (1985). https://doi.org/10.1103/PhysRevLett.54.1991Direct Empirical Correlation between Proton-Neutron Interaction Strengths and the Growth of Collectivity in Nuclei
. Phys. Rev. Lett. 96,A shell-model interpretation of intruder states and the onset of deformation in even-even nuclei
. Physics Letters B 155, 303-308 (1985). https://doi.org/10.1016/0370-2693(85)91575-8Hartree-fock-bogolyubov study of deformation in the Zr Mo region
. Physics Letters B 77, 29-32 (1978). https://doi.org/10.1016/0370-2693(78)90192-2Microscopic analysis of T=1 and T=0 proton-neutron correlations in N=Z nuclei
. Nuclear Physics A 748, 393-401 (2005). https://doi.org/10.1016/j.nuclphysa.2004.11.014Hartree-fock-bogoliubov nuclear mass model with 0.50 mev accuracy based on standard forms of skyrme and pairing functionals
. Phys. Rev. C 88,Microscopic mass formulas
. Phys. Rev. C 52, R23-R27 (1995). https://doi.org/10.1103/PhysRevC.52.R23Nuclear energy density optimization: Large deformations
. Phys. Rev. C 85,Surface diffuseness correction in global mass formula
. Physics Letters B 734, 215-219 (2014). https://doi.org/10.1016/j.physletb.2014.05.049Phenomenological nuclear level densities using the ktuy05 nuclear mass formula for applications off-stability
. Journal of Nuclear Science and Technology 43, 1-8 (2006). https://doi.org/10.1080/18811248.2006.9711062Nuclear ground-state masses and deformations: FRDM(2012)
. Atomic Data and Nuclear Data Tables 109-110, 1-204 (2016). https://doi.org/10.1016/j.adt.2015.10.002Deformations and Charge Radii-Nuclear Ground-State Properties in the Relativistic Mean Field Model
. Progress of Theoretical Physics 113, 785-800 (2005). https://doi.org/10.1143/PTP.113.785Nuclear Ground-State Masses and Deformations
. Atomic Data and Nuclear Data Tables 59, 185-381 (1995). https://doi.org/10.1006/adnd.1995.1002Excitation energy of the T=0β-decaying 9+ isomer in 70Br
. Phys. Rev. C 70,T=0 and T=1 states in the odd-odd N=Z nucleus, 3570Br35
. Phys. Rev. C 65,Precision mass measurements of rare isotopes near N=Z=33 produced by fast beam fragmentation
. Phys. Rev. C 75,Mass measurements of As, Se, and Br nuclei, and their implication on the proton-neutron interaction strength toward the N=Z line
. Phys. Rev. C 103,Valence proton-neutron interactions throughout the mass surface
. Phys. Rev. C 73,Pseudo-SU(4) Symmetry in pf-Shell Nuclei
. Phys. Rev. Lett. 82, 2060-2063 (1999). https://doi.org/10.1103/PhysRevLett.82.2060Improved nuclear matter calculations from chiral low-momentum interactions
. Phys. Rev. C 83,Abnormal bifurcation of the double binding energy differences and proton-neutron pairing: Nuclei close to N=Z line from ni to rb
. Phys. Rev. Lett. 132,Neutron-proton interaction in mirror nuclei
. Phys. Rev. C 6, 467-468 (1972). https://doi.org/10.1103/PhysRevC.6.467Mass relations of mirror nuclei
. Phys. Rev. C 102,MASS MEASUREMENT OF 45Cr AND ITS IMPACT ON THE Ca-Sc CYCLE IN X-RAY BURSTS
. The Astrophysical Journal 766,Isobaric multiplet yrast energies and isospin nonconserving forces
. Phys. Rev. Lett. 89,Unusual isospin-breaking and isospin-mixing effects in the A=35 mirror nuclei
. Phys. Rev. Lett. 92,Isospin symmetry of odd-odd mirror nuclei: Identification of excited states in N=Z-248Mn
. Phys. Rev. Lett. 97,Observation of 54Ni: Cross-conjugate symmetry in f7/2 mirror energy differences
. Phys. Rev. Lett. 97,Variation in displacement energies due to isospin-nonconserving forces
. Phys. Rev. Lett. 110,Investigation of isospin-symmetry breaking in mirror energy difference and nuclear mass with ab initio calculations
. Phys. Rev. C 107,Large isospin asymmetry in 22Si/22O mirror gamow-teller transitions reveals the halo structure of 22Al
. Phys. Rev. Lett. 125,Ab initio calculations of mirror energy difference in sd-shell nuclei*
. Chinese Physics C 47,Double-magicity of proton drip-line nucleus 22Si with ab initio calculation
. Physics Letters B 846,Charge symmetry breaking and QCD
. Annual Review of Nuclear and Particle Science 56, 253-292 (2006). https://doi.org/10.1146/annurev.nucl.56.080805.140446Complex valence-space effective operators for observables: The Gamow-Teller transition
. Phys. Rev. C 108,Isobaric quartets in nuclei
. Rev. Mod. Phys. 51, 527-540 (1979). https://doi.org/10.1103/RevModPhys.51.527Mass Measurements of the Neutron-Deficient 41Ti, 45Cr, 49Fe, and 53Ni Nuclides: First Test of the Isobaric Multiplet Mass Equation in fp-Shell Nuclei
. Phys. Rev. Lett. 109,Evaluated experimental isobaric analogue states from T=1/2 to T=3 and associated IMME coefficients
. Nuclear Physics A 925, 61-95 (2014). https://doi.org/10.1016/j.nuclphysa.2014.01.007The isobaric multiplet mass equation for A≤71 revisited
. Atomic Data and Nuclear Data Tables 99, 680-703 (2013). https://doi.org/10.1016/j.adt.2012.11.002Beyond Wigner’s isobaric multiplet mass equation: Effect of charge-symmetry-breaking interaction and Coulomb polarization
. Phys. Rev. C 99,Ground-state mass of the odd-odd N=Z nuclide 70Br
. Phys. Rev. C 108,Vector and Tensor Coulomb Energies
. Phys. Rev. 147, 735-742 (1966). https://doi.org/10.1103/PhysRev.147.735Coulomb Energies
. Annual Review of Nuclear Science 19, 471-526 (1969). https://doi.org/10.1146/annurev.ns.19.120169.002351Nuclear Coulomb energies
. Reports on Progress in Physics 41, 957-1026 (1978). https://doi.org/10.1088/0034-4885/41/7/001Mapping the proton drip line up to A=70
. Phys. Rev. C 55, 2407-2417 (1997). https://doi.org/10.1103/PhysRevC.55.2407Proton drip-line calculations and the rp process
. Phys. Rev. C 65,Status of the high-intensity heavy-ion accelerator facility in China
. AAPPS Bulletin 32, 35 (2022). https://doi.org/10.1007/s43673-022-00064-1The design of the Spectrometer Ring at the HIAF
. Nuclear Instruments and Methods in Physics Research Section A: Accelerators, Spectrometers, Detectors and Associated Equipment 881, 27-35 (2018). https://doi.org/10.1016/j.nima.2017.08.017High intensity heavy ion accelerator facility (HIAF) in China
. Nuclear Instruments and Methods in Physics Research Section B: Beam Interactions with Materials and Atoms 317, 263-265 (2013). XVIth International Conference on ElectroMagnetic Isotope Separators and Techniques Related to their Applications, December 2-7, 2012 at Matsue, Japan. https://doi.org/10.1016/j.nimb.2013.08.046Transverse impedances and collective instabilities in a heavy ion accelerator
. Phys. Rev. Accel. Beams 21,Dedicated to Professor Wenqing Shen in honour of his 80th birthday


-202412-小份文件打包/1001-8042-35-12-004/alternativeImage/1001-8042-35-12-004-F005.jpg)
-202412-小份文件打包/1001-8042-35-12-004/alternativeImage/1001-8042-35-12-004-F009.jpg)
-202412-小份文件打包/1001-8042-35-12-004/alternativeImage/1001-8042-35-12-004-F010.jpg)
-202412-小份文件打包/1001-8042-35-12-004/alternativeImage/1001-8042-35-12-004-F016.jpg)
-202412-小份文件打包/1001-8042-35-12-004/alternativeImage/1001-8042-35-12-004-F020.jpg)
