logo

Production characteristics of light nuclei, hypertritons, and Ω-hypernuclei in Pb+Pb collisions at sNN=5.02 TeV

NUCLEAR PHYSICS AND INTERDISCIPLINARY RESEARCH

Production characteristics of light nuclei, hypertritons, and Ω-hypernuclei in Pb+Pb collisions at sNN=5.02 TeV

Rui-Qin Wang
Xin-Lei Hou
Yan-Hao Li
Jun Song
Feng-Lan Shao
Nuclear Science and TechniquesVol.36, No.10Article number 185Published in print Oct 2025Available online 18 Jul 2025
43700

This study aims to investigate the production of light nuclei, hypertritons, and Ω-hypernuclei in Pb+Pb collisions at sNN=5.02 TeV using a modified analytical nucleon coalescence model with hyperons. To this end, the momentum distributions of two bodies coalescing into dibaryon states and of three bodies coalescing into tribaryon states are derived. Available data on coalescence factors B2 and B3, transverse momentum spectra, averaged transverse momenta, yield rapidity densities, and yield ratios of the deuteron, antihelium-3, antitriton, and hypertriton measured by the ALICE collaboration are explained. Productions of different species of Ω-hypernuclei H(pΩ-), H(nΩ-), and H(pnΩ-) are predicted. Particularly, the production correlations of different light (hyper-)nuclei are studied, and two groups of interesting observables—the averaged transverse momentum ratios of light (hyper-)nuclei to protons (hyperons) and their corresponding yield ratios—are studied. The averaged transverse momentum ratio group exhibits a reverse hierarchy of the nucleus size, and the yield raito group is sensitive to the nucleus production mechanism as well as the size of the nucleus.

Light nucleus productionHypernucleus productionCoalescence modelRelativistic heavy ion collision
1

Introduction

In ultra-relativistic heavy ion collisions, light nuclei and hypernuclei such as deuteron (d), helium-3 (3He), triton (t), and hypertriton (Λ3H) are produced as a special group of observables [1-5]. These groups comprise composite clusters, and their production mechanism is still debated [6-8]. Production mechanisms of such composite objects face many fundamental issues in relativistic heavy ion community; e.g., the hadronization mechanism [9], hadronic rescattering effect [10], structure of the quantum chromodynamics phase diagram [11-15], local baryon-strangeness correlation [16, 17], system freeze-out characteristics [18-20], hyperon–nucleon interaction [21, 22], and search for more hadronic molecular states [23, 24].

The production mechanisms of light nuclei and hypernuclei in ultra-relativistic heavy ion collisions have attracted considerable attention in experimental [25-28] and theoritical [29-32] research in the last few decades. The STAR experiment at the BNL Relativistic Heavy Ion Collider (RHIC) and the ALICE experiment at the CERN Large Hadron Collider (LHC) have been conducted to measure light nuclei [33-37] and hypernuclei [38-40]. Theoretical research has considered two popular production mechanisms, the thermal production mechanism [41-45] and the coalescence mechanism [46-50], which have been proven to be successful in describing the formation of such composite objects.

The coalescence mechanism, assuming light nuclei and hypernuclei are produced by the coalescence of the adjacent nucleons and hyperons in the phase space, exhibits certain unique characteristics such as the mass number scaling property [51-53] and nontrivial coalescence factor behavior [54-57]. To understand the extent to which these characteristics depend on the particular coalescence models used in obtaining these characteristics, we have developed an analytical model for describing the productions of different species of light nuclei, as reported in our previous works [58-61]. We applied the developed analytical nucleon coalescence model to Au+Au collisions at the RHIC to successfully explain the energy-dependent behaviors of d, t, 3He, and 4He [58, 59]. We also applied the model to pp, p+Pb, and Pb+Pb collisions at the LHC to understand different behaviors of coalescence factors B2 and B3 [60] from small to large collision systems, and a series of concise production correlations of d, 3He, and t [61] were presented.

Recently, the ALICE collaboration published the most precise measurements of d, 3He, t, and especially Λ3H in Pb+Pb collisions at sNN=5.02 TeV to date [62-64]. In this study, we extend the coalescence model considering the coordinate–momentum correlation [61] to include the hyperon coalescence besides the nucleon coalescence and apply it to simultaneously study the productions of light nuclei, Λ3H, and Ω-hypernuclei. This study primarily aims to present a comprehensive overview of the latest data published in Pb+Pb collisions with the highest collision energy. The study also aims to explain the production characteristics, specifically, the production correlations of light nuclei and hypernuclei originating from the coalescence. We propose two groups of interesting observables–the averaged transverse momentum ratios and centrality-dependent yield ratios of light nuclei to protons and hypernuclei to hyperons. These ratios tend to offset the differences in the primordial p, Λ, and Ω-, making them potent to reveal the existence of a universal production mechanism for different species of nuclei in light and strange sectors. These ratios are found to exhibit certain relationships, which are considerably different from those observed in the thermal production mechanism.

The remainder of this manuscript is organized as follows. Section 2 introduces the coalescence model and presents the formulae of the momentum distributions of two baryons coalescing into dibaryon states and three baryons coalescing into tribaryon states. Section 3 presents the behaviors of B2 and B3 evaluated as functions of the collision centrality and the transverse momentum per nucleon. Furthermore, the transverse momentum (pT) spectra, averaged transverse momenta pT, yield rapidity densities dN/dy, and yield ratios of d, 3He¯, and t¯ are presented. Section 4 presents the results of the Λ3H and Ω-hypernuclei. Specifically, the averaged transverse momentum ratios pTdpTp, pTH(pΩ)pTΩ, pTH(nΩ)pTΩ, pTtpTp, pT3HepTp, pTΛ3HpTΛ, pTH(pnΩ)pTΩ, and centrality-dependent behaviors of yield ratios dp, H(pΩ)Ω, H(nΩ)Ω, tp, 3Hep, Λ3HΛ, and H(pnΩ)Ω are evaluated. Finally, Section 5 presents the conclusions drawn from the study findings.

2

Coalescence model

This section presents the extension of the analytical nucleon coalescence model developed in our previous work [61] to include the hyperon coalescence. The current model executes the coalescence process on an equivalent kinetic freeze-out surface formed from different times. To realize the analytical and intuitive insights, we eliminate the systematic time-evolution execution and utilize the finite emission duration in an effective volume. First, the formalism of two baryons coalescing into d-like dibaryon states is explained. Subsequently, an analytical expression of three baryons coalescing into 3He, t, and their partners in the strange sector is presented.

2.1
Formalism of two bodies coalescing into dibaryon states

Starting with a hadronic system produced at the final stage of the evolution of high-energy collisions, we consider that the dibaryon state Hj is formed via the coalescence of two baryons h1 and h2. We use fHj(p) to denote the three-dimensional momentum distribution of the produced Hj, as follows: fHj(p)=dx1dx2dp1dp2fh1h2(x1,x2;p1,p2)  ×RHj(x1,x2;p1,p2,p). (1) Here, fh1h2(x1,x2;p1,p2) is the two-baryon joint coordinate–momentum distribution; and RHj(x1,x2;p1,p2,p) is the kernel function of the Hj. Hereinafter, we use bold symbols to denote three-dimensional coordinates and momentum vectors.

In terms of the normalized joint coordinate–momentum distribution denoted by the superscript ‘(n)’, we have fHj(p)=Nh1h2dx1dx2dp1dp2fh1h2(n)(x1,x2;p1,p2) ×RHj(x1,x2;p1,p2,p). (2) Here, Nh1h2=Nh1Nh2 is the number of all possible h1h2-pairs in the considered hadronic system, and Nhi(i=1,2) is the number of the baryons hi.

The kernel function RHj(x1,x2;p1,p2,p) denotes the probability density for h1, h2 with momenta p1 and p2 at x1 and x2 to combine into an Hj of momentum p. It carries the kinetic and dynamical information of h1 and h2 combining into Hj, and its precise expression should be constrained by laws such as the momentum conservation and constraints due to intrinsic quantum numbers; e.g., spin [58-61]. To consider these constraints explicitly, we rewrite the kernel function in the following form: RHj(x1,x2;p1,p2,p)=gHjRHj(x,p)(x1,x2;p1,p2)  ×δ(i=12pip). (3) The spin degeneracy factor gHj=(2JHj+1)/[i=12(2Jhi+1)], where JHj is the spin of the produced Hj and Jhi is that of the primordial baryon hi. The Dirac δ function guarantees momentum conservation in the coalescence process. The remaining RHj(x,p)(x1,x2;p1,p2) can be solved using the Wigner transformation as the Hj wave function is given. Considering the wave function of a spherical harmonic oscillator is particularly tractable and useful for analytical insights, therefore, we adopt this profile as reported in Refs. [65-67] and have RHj(x,p)(x1,x2;p1,p2)=8e(x1x2)22σ2e2σ2(m2p1m1p2)2(m1+m2)2. (4) The superscript ‘′’ in the coordinate or momentum variables denotes the baryon coordinate or momentum in the rest frame of h1h2-pair, respectively. Moreover, m1 and m2 represent the mass of h1 and that of h2, respectively. The width parameter σ=2(m1+m2)23(m12+m22)RHj, where RHj is the root-mean-square radius of the Hj.

Substituting Eqs. (3) and (4) into Eq. (2), we have fHj(p)=Nh1h2gHjdx1dx2dp1dp2fh1h2(n)(x1,x2;p1,p2)×8e(x1x2)22σ2e2σ2(m2p1m1p2)2(m1+m2)2δ(i=12pip). (5) This is the general formalism of the Hj production via the coalescence of two baryons h1 and h2.

Notably, the root-mean-square radius RHj of the dibaryon state Hj is always about or larger than 2 fm, and σ is considerably larger than RHj. Thus, the Gaussian width in the momentum-dependent part of the kernel function in Eq. (5) has a small value, about or smaller than 0.1 GeV/c. Therefore, we approximate the Gaussian form of the momentum-dependent kernel function to be a δ function as follows: e(p1m1m2p2)2(1+m1m2)2/(2σ2)[π2σ(1+m1m2)]3δ(p1m1m2p2). (6) The robustness of the δ function approximation has been checked at the outset of the analytical coalescence model in our previous work [60]. Substituting Eq. (6) into Eq. (5) and integrating p1 and p2, we obtain fHj(p)=Nh1h2gHjdx1dx2dp1dp2 fh1h2(n)(x1,x2;p1,p2)8e(x1x2)22σ2(π2σ)3(1+m1m2)3 ×δ(p1m1m2p2)δ(i=12pip)=Nh1h2gHjdx1dx2dp1dp2fh1h2(n)(x1,x2;p1,p2) ×8e(x1x2)22σ2(π2σ)3(1+m1m2)3γδ(p1m1m2p2) ×δ(i=12pip)=Nh1h2gHjγ(π2σ)3×8dx1dx2 fh1h2(n)(x1,x2;m1pm1+m2,m2pm1+m2)e(x1x2)22σ2. (7) Here, γ denotes the Lorentz contraction factor corresponding to the three-dimensional velocity β of the center-of-mass frame of the h1h2-pair in the laboratory frame, and the momentum transformation parallel to β is p1//m1m2p2//=1γ(p1//m1m2p2//) and that perpendicular to β is invariant.

Changing coordinate variables in Eq. (7) to X=2(m1x1+m2x2)m1+m2 and r=x1x22 gives fHj(p)=Nh1h2gHjγ(π2σ)3 ×8dXdrfh1h2(n)(X,r;m1pm1+m2,m2pm1+m2)er2σ2. (8) Considering the strong interaction and coalescence to be local, we neglect the effect of collective motion on the center of mass coordinate and assume it is factorized as fh1h2(n)(X,r;m1pm1+m2,m2pm1+m2)=fh1h2(n)(X) ×fh1h2(n)(r;m1pm1+m2,m2pm1+m2). (9) Substituting Eq. (9) into Eq. (8), we have fHj(p)=Nh1h2gHjγ(π2σ)3 ×8drfh1h2(n)(r;m1pm1+m2,m2pm1+m2)er2σ2. (10) We adopt the frequently-used Gaussian form for the relative coordinate distribution, as reported in Refs. [68-70], as follows: fh1h2(n)(r;m1pm1+m2,m2pm1+m2)=1[πC0Rf2(p)]3/2 ×er2C0Rf2(p)fh1h2(n)(m1pm1+m2,m2pm1+m2). (11) Here, Rf(p) is the effective radius of the hadronic source system at the Hj freeze-out, and C0 is introduced to make r2/C0 to be the square of one-half of the relative position and is equal to 2 [68-70]. Similarly, Rf(p) is the Hanbury–Brown–Twiss (HBT) interferometry radius, which can be extracted from the two-particle femtoscopic correlations [69, 70].

With instantaneous coalescence in the rest frame of the h1h2-pair, i.e., Δt’=0, we get the coordinate transformation r=r'+(γ1)r'ββ2β. (12) The instantaneous coalescence is a basic assumption in coalescence-like models, wherein the overlap of the nucleus Wigner phase–space density with the constituent phase–space distributions is adopted [65]. Considering the coalescence criterion judging in the rest frame is more general than in the laboratory frame, we choose the instantaneous coalescence in the rest frame of the h1h2-pair, as reported in Refs. [71, 65]. Substituting Eq. (11) into Eq. (10) and using Eq. (12) to integrate from the relative coordinate variable, we obtain fHj(p)=8π3/2gHjγ23/2[C0Rf2(p)+σ2]C0[Rf(p)/γ]2+σ2×fh1h2(m1pm1+m2,m2pm1+m2). (13) Ignoring the correlations between h1 and h2, we obtain the three-dimensional momentum distribution of the Hj as fHj(p)=8π3/2gHjγ23/2[C0Rf2(p)+σ2]C0[Rf(p)/γ]2+σ2×fh1(m1pm1+m2)fh2(m2pm1+m2). (14) Denoting the Lorentz invariant momentum distribution Ed3Ndp3=d2N2πpTdpTdy with f(inv), we finally get fHj(inv)(pT,y)=8π3/2gHj23/2[C0Rf2(pT,y)+σ2]C0Rf2(pT,y)γ2+σ2 ×mHjm1m2fh1(inv)(m1pTm1+m2,y)fh2(inv)(m2pTm1+m2,y), (15) where y is the longitudinal rapidity and mHj is the mass of Hj.

2.2
Formalism of three bodies coalescing into tribaryon states

For tribaryon state Hj formed via the coalescence of three baryons h1, h2, and h3, the momentum distribution fHj(p) is fHj(p)=Nh1h2h3dx1dx2dx3dp1dp2dp3fh1h2h3(n) (x1,x2,x3;p1,p2,p3)RHj(x1,x2,x3;p1,p2,p3,p). (16) Here, Nh1h2h3 is the number of all possible h1h2h3-clusters and equals to Nh1Nh2Nh3, Nh1(Nh11)Nh3 for h1h2h3, and h1=h2h3. Moreover, fh1h2h3(n)(x1,x2,x3;p1,p2,p3) is the normalized three-baryon joint coordinate–momentum distribution, and RHj(x1,x2,x3;p1,p2,p3,p) is the kernel function.

The kernel function can be modified as RHj(x1,x2,x3;p1,p2,p3,p)=gHjRHj(x,p)(x1,x2,x3;p1,p2,p3)δ(i=13pip). (17) The spin degeneracy factor gHj=(2JHj+1)/[i=13(2Jhi+1)]. The Dirac δ function guarantees momentum conservation. Solving from the Wigner transformation [65-67], RHj(x,p)(x1,x2,x3;p1,p2,p3) is RHj(x,p)(x1,x2,x3;p1,p2,p3)=82e(x1x2)22σ12e2(m1x1m1+m2+m2x2m1+m2x3)23σ22e2σ12(m2p1m1p2)2(m1+m2)2e3σ22[ m3p1+m3p2(m1+m2)p3 ]22(m1+m2+m3)2. (18) Here, the superscript ‘′' denotes the baryon coordinate or momentum in the rest frame of the h1h2h3-cluster. The width parameter σ1=m3(m1+m2)(m1+m2+m3)m1m2(m1+m2)+m2m3(m2+m3)+m3m1(m3+m1)RHj, and σ2=4m1m2(m1+m2+m3)23(m1+m2)[m1m2(m1+m2)+m2m3(m2+m3)+m3m1(m3+m1)]RHj, where RHj is the root-mean-square radius of the Hj. Substituting Eqs. (17) and (18) into Eq. (16), we obtain fHj(p)=82Nh1h2h3gHjdx1dx2dx3dp1dp2dp3e(x1x2)22σ12e2(m1x1m1+m2+m2x2m1+m2x3)23σ22fh1h2h3(n)(x1,x2,x3;p1,p2,p3)×e2σ12(m2p1m1p2)2(m1+m2)2e3σ22[m3p1+m3p2(m1+m2)p3]22(m1+m2+m3)2δ(i=13pip). (19) Approximating the Gaussian form of the momentum-dependent kernel function to be a δ function and integrating p1, p2, and p3 from Eq. (19), we obtain fHj(p)=82Nh1h2h3gHjdx1dx2dx3dp1dp2dp3fh1h2h3(n)(x1,x2,x3;p1,p2,p3)e(x1x2)22σ12e2(m1x1m1+m2+m2x2m1+m2x3)23σ22 ×(π2σ1)3(1+m1m2)3δ(p1m1m2p2)(2π3σ2)3(1+m1m3+m2m3)3δ(p1+p2m1+m2m3p3)δ(i=13pip)=82Nh1h2h3gHjdx1dx2dx3dp1dp2dp3fh1h2h3(n)(x1,x2,x3;p1,p2,p3)e(x1x2)22σ12e2(m1x1m1+m2+m2x2m1+m2x'3)23σ22 ×(π2σ1)3(1+m1m2)3γδ(p1m1m2p2)(2π3σ2)3(1+m1m3+m2m3)3γδ(p1+p2m1+m2m3p3)δ(i=13pip)=82Nh1h2h3gHjγ2(π3σ1σ2)3dx1dx2dx3fh1h2h3(n)( x1,x2,x3;m1pm1+m2+m3, m2pm1+m2+m3,m3pm1+m2+m3 )×e(x1x2)22σ12e2(m1x1m1+m2+m2x2m1+m2x3)23σ22. (20) Changing coordinate variables in Eq. (20) to Y=(m1x1+m2x2+m3x3)/(m1+m2+m3), r1=(x1x2)/2 and r2=23(m1x1m1+m2+m2x2m1+m2x3), as reported in Refs. [65-67], we get fHj(p)=82Nh1h2h3gHjγ2(π3σ1σ2)3   ×33/2dYdr1dr2fh1h2h3(n)(Y,r1,r2;m1pm1+m2+m3,m2pm1+m2+m3,m3pm1+m2+m3)er12σ12er22σ22. (21) Assuming the center of mass coordinate in the joint distribution to be factorized gives 33/2fh1h2h3(n)(Y,r1,r2;m1pm1+m2+m3,m2pm1+m2+m3,m3pm1+m2+m3)=fh1h2h3(n)(Y)fh1h2h3(n)(r1,r2;m1pm1+m2+m3,m2pm1+m2+m3,m3pm1+m2+m3). (22) Substituting Eq. (22) into Eq. (21), we get fHj(p)=82Nh1h2h3gHjγ2(π3σ1σ2)3dr1dr2fh1h2h3(n)(r1,r2;m1pm1+m2+m3,m2pm1+m2+m3,m3pm1+m2+m3)×er12σ12er22σ22. (23) Adopting the Gaussian forms for the relative coordinate distributions [60, 68-70], we get fh1h2h3(n)(r1,r2;m1pm1+m2+m3,m2pm1+m2+m3,m3pm1+m2+m3)=1[πC1Rf2(p)]3/2er12C1Rf2(p)1[πC2Rf2(p)]3/2er22C2Rf2(p)fh1h2h3(n)(m1pm1+m2+m3,m2pm1+m2+m3,m3pm1+m2+m3). (24) Comparing the relationships of r1 and r2 with x1, x2, and x3 to that of r with x1 and x2 presented in Sect. 2.1, we observe that C1 is equal to C0 and C2 is 4C0/3 [60, 68-70]. Substituting Eq. (24) into Eq. (23) and considering the coordinate Lorentz transformation, we integrate from the relative coordinate variables and obtain fHj(p)=82π3gHjγ233/2[C1Rf2(p)+σ12]C1[Rf(p)/γ]2+σ12[C2Rf2(p)+σ22]C2[Rf(p)/γ]2+σ22×fh1h2h3(m1pm1+m2+m3,m2pm1+m2+m3,m3pm1+m2+m3). (25) Ignoring the correlations between h1, h2, and h3, we get the three-dimensional momentum distribution of Hj as fHj(p)=82π3gHjγ233/2[C1Rf2(p)+σ12]C1[Rf(p)/γ]2+σ12[C2Rf2(p)+σ22]C2[Rf(p)/γ]2+σ22×fh1(m1pm1+m2+m3)fh2(m2pm1+m2+m3)fh3(m3pm1+m2+m3). (26) Finally, the Lorentz invariant momentum distribution can be expressed as fHj(inv)(pT,y)=82π3gHj33/2[ C1Rf2(pT,y)+σ12 ]C1[ Rf(pT,y)/γ ]2+σ12[ C2Rf2(pT,y)+σ22 ]C2[ Rf(pT,y)/γ ]2+σ22×mHjm1m2m3fh1(inv)(m1pTm1+m2+m3,y)fh2(inv)(m2pTm1+m2+m3,y)fh3(inv)(m3pTm1+m2+m3,y). (27) In summary, Eqs. (15) and (27) give the following: (i) the relationships of dibaryon states and tribaryon states with primordial baryons in momentum space in a laboratory frame, (ii) effects of different factors on dibaryon or tribaryon production; e.g., the whole hadronic system scale and the size of the formed composite object. These equations can be directly used to calculate the production of light nuclei, hypernuclei, and even other hadronic molecular states. Moreover, they can be conveniently used to investigate production correlations of different species of composite objects. As the formulae for the antiparticles are the same as those for the dibaryon and tribaryon states, we have not derived them here to eliminate duplication. Their applications at midrapidity (i.e., y = 0) in heavy ion collisions at the LHC are presented in the following sections.

3

Results of light nuclei

This section presents the use of the coalescence model to study productions of d, 3He¯ and t¯ at midrapidity in Pb+Pb collisions at sNN=5.02 TeV. First, we calculate the coalescence factors B2 and B3 and discuss their centrality and pT-dependent behaviors. Subsequently, we compute the pT spectra of d, 3He¯, and t¯. Finally, we calculate the averaged transverse momenta pT, the yield rapidity densities dN/dy, and the yield ratios of different light nuclei.

3.1
Coalescence factor of light nuclei

The coalescence factor BA is defined as BA(pT)=fd,3He,t(inv)(pT)[fp(inv)(pTA)]Z[fn(inv)(pTA)]AZ, (28) where A is the mass number and Z is the charge of the light nuclei. It is a unique link between the formed light nuclei and the primordial nucleons. Several studies have investigated BA using different coalescence models [72-75]. From Eqs. (15) and (27), we get d, 3He, and t, as follows: B2(pT)=mdgd(2π)3mpmn[C0Rf2(pT)+σd2]C0[Rf(pT)γ]2+σd2, (29) B3(pT)=64π3g3He332[C1Rf2(pT)+σ3He2]C1[Rf(pT)γ]2+σ3He2 ×m3Hemp2mn[C2Rf2(pT)+σ3He2]C2[Rf(pT)γ]2+σ3He2, (30) B3(pT)=64π3gt332[C1Rf2(pT)+σt2]C1[Rf(pT)γ]2+σt2 ×mtmpmn2[C2Rf2(pT)+σt2]C2[Rf(pT)γ]2+σt2. (31) Here, σd=43Rd, and the root-mean-square radius of the deuteron Rd=2.1421 fm [76]. Moreover, σ3He=R3He=1.9661 fm, σt=Rt=1.7591 fm [76], mp,n denotes the nucleon mass, and md,3He,t denotes the mass of the d, 3He, or t, respectively.

To further compute B2 and B3, the specific form of Rf(pT) is necessary. Similar to Ref. [61], the dependence of Rf(pT) on centrality and pT is considered to factorize into a linear dependence on the cube root of the pseudorapidity density of charged particles (dNch/dη)1/3 and a power-law dependence on the transverse mass of the formed light nucleus [70]. Therefore, we get Rf(pT)=a×(dNch/dη)13×(pT2+md,3He,t2)b, (32) where a and b are the free parameters, and their values in Pb+Pb collisions at sNN=5.02 TeV are (0.70,-0.31) for d and (0.66,-0.31) for 3He and t, determined by reproducing the experimental data of pT spectra of d and 3He in the most central 0–5% centrality. Here, b is set to be centrality independent and is consistent with that in hydrodynamics [78] and that in STAR measurements of two-pion interferometry in central and semi-central Au+Au collisions [79]. Moreover, a is set to be centrality-independent, the same as that in our previous work [61].

We used the data of dNch/dη reported in Ref. [80] to evaluate Rf(pT) and computed the coalescence factors B2 and B3. Figure 1 shows B2 of d as a function of the transverse momentum scaled by the mass number pT/2 in different centralities in Pb+Pb collisions at sNN=5.02 TeV. Symbols with error bars represent experimental data [77], and solid lines represent theoretical results of the coalescence model. As observed from Fig. 1, from central to peripheral collisions, B2 exhibits an increasing trend owing to the decreasing scale of the created hadronic system. For a certain centrality, B2 increases as a function of pT/2. This increased behavior results, on the one hand, from the Lorentz contraction factor γ, which has been studied in Ref. [60]. On the other hand, it results from the decreasing Rf with increasing pT. The increase in the experimental data as a function of pT/2 from central to peripheral collisions can be quantitatively described by the coalescence model.

Fig. 1
(Color online) B2 of d as a function of pT/2 in different centralities in Pb+Pb collisions at sNN=5.02 TeV. Symbols with error bars represent experimental data [77], and solid lines represent theoretical results
pic

Figure 2 shows B3 of 3He¯ and that of t¯ as a function of pT/3 in different centralities in Pb+Pb collisions at sNN=5.02 TeV. Symbols with error bars represent experimental data [62], and solid lines represent theoretical results. Similar to B2, the experimental data of B3 exhibit an increasing trend as a function of pT/3 and is reproduced well by the coalescence model from central to peripheral collisions. Figures 1 and 2 show that the centrality and pT-dependent behaviors of B2 and B3 are simultaneously explained by the coalescence model. The results extracted for Rf(pT) can provide quantitative references for future measurements of HBT interferometry radius from the two-nucleon correlations. Through the light nucleus production, we provide an alternative way to obtain the HBT interferometry radius of the hadronic source system.

Fig. 2
(Color online) B3 of (a) 3He¯ and (b) t¯ as a function of pT/3 in different centralities in Pb+Pb collisions at sNN=5.02 TeV. Symbols with error bars represent experimental data [62], and solid lines represent theoretical results
pic
3.2
pT spectra of light nuclei

The pT spectra of primordial nucleons are necessary inputs for computing pT distributions of light nuclei in the coalescence model. Here, we used the blast-wave model to get pT distribution functions of primordial protons by fitting the experimental data of prompt (anti)protons, as reported in Ref. [80]. The blast-wave function [81] is given as d2N2πpTdpTdy 0RrdrmTI0(pTsinhρTkin)K1(mTcoshρTkin), (33) where r is the radial distance in the transverse plane and R is the fireball radius. Moreover, I0 and K1 are the modified Bessel functions, and the velocity profile ρ=tanh1βT=tanh1[βs(rR)n]. The kinetic freeze-out temperature Tkin, the averaged radial expansion velocity βT, and n are fit parameters. Their values can be found in Ref. [80].

Figure 3 shows the pT spectra of prompt protons plus antiprotons in different centralities in Pb+Pb collisions at sNN=5.02 TeV. Symbols with error bars represent experimental data [80], and dashed lines represent the results of the blast-wave model. The pT spectra in different centralities are scaled by different factors for clarity, as shown in the Fig. 3. For the primordial neutrons, we adopted the same pT spectra as those of primordial protons, as we focused on light nucleus production at midrapidity at high LHC energy, that the isospin symmetry was well satisfied.

Fig. 3
(Color online) pT spectra of prompt protons plus antiprotons in different centralities in Pb+Pb collisions at sNN=5.02 TeV. Symbols with error bars represent experimental data [80], and dashed lines represent the results of the blast-wave model
pic

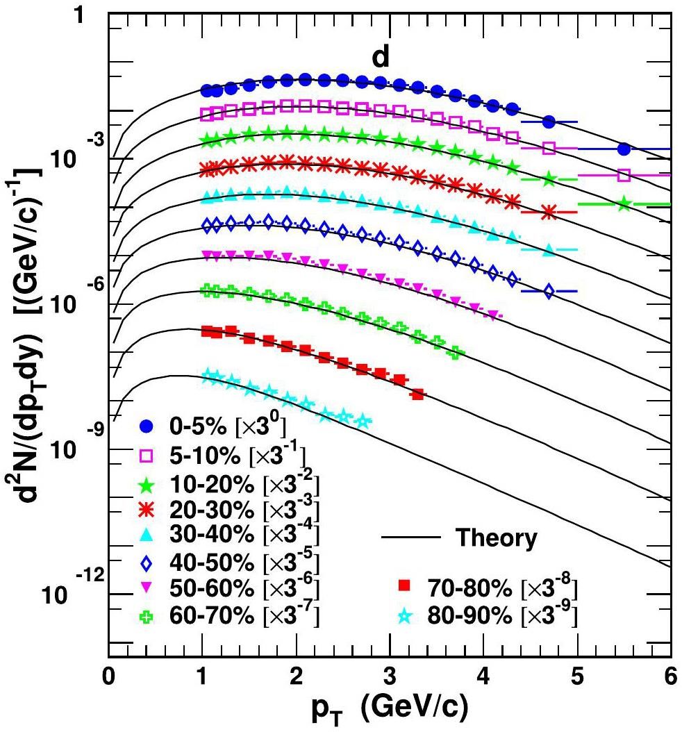
First, the pT spectra of deuterons in Pb+Pb collisions at sNN=5.02 TeV in 0–5%, 5–10%, 10–20%, 20–30%, 30–40%, 40–50%, 50–60%, 60–70%, 70–80%, and 80–90% centralities were determined. Different solid lines scaled by different factors for clarity in Fig. 4 represent our theoretical results. Symbols with error bars represent the experimental data from the ALICE collaboration [62]. Subsequently, the pT spectra of 3He¯ and t¯ in Pb+Pb collisions at sNN=5.02 TeV in different centralities were computed. Different solid lines in Fig. 5 represent our theoretical results, which agree with the available data denoted by the filled symbols [62]. As observed from Figs. 4 and 5, nucleon coalescence is the dominant mechanism for light nucleus production in Pb+Pb collisions at sNN=5.02 TeV. More precise measurements for 3He¯ and t¯ in a wide pT range in the future can help test the coalescence mechanism further, specifically in peripheral Pb+Pb collisions.

Fig. 4
(Color online) pT spectra of deuterons in different centralities in Pb+Pb collisions at sNN=5.02 TeV. Symbols with error bars represent experimental data [77], and solid lines represent the theoretical results
pic
Fig. 5
(Color online) pT spectra of (a) 3He¯ and (b) t¯ in different centralities in Pb+Pb collisions at sNN=5.02 TeV. Filled symbols with error bars represent experimental data [62], and solid lines represent theoretical results
pic
3.3
Averaged transverse momenta and yield rapidity densities of light nuclei

The averaged transverse momenta pT and yield rapidity densities dN/dy of d, 3He¯, and t¯ are examined. Our theoretical results are presented in the fourth and sixth columns in Table 1. Experimental data presented in the third and fifth columns are obtained from Refs. [62, 77]. A decreasing trend for pT and dN/dy from central to peripheral collisions is observed. This is because in collisions that are more central, more energy is deposited in the midrapidity region, and collective evolution exists for longer. Theoretical results for d, 3He¯, and t¯ are consistent with the corresponding data within the experimental uncertainties, except for a very little underestimation for dN/dy of t¯ in a peripheral 50–90% collision. Such underestimation needs to be confirmed using precise data from future research.

Table 1
Averaged transverse momenta pT and yield rapidity densities dN/dy of d, 3He¯, and t¯ in different centralities in Pb+Pb collisions at sNN=5.02 TeV. Experimental data in the third and fifth columns are obtained from Refs. [62, 77]. Theoretical results are presented in the fourth and sixth columns
  Centrality pT (GeV/c) dN/dy
Data Theory Data Theory
d 0–5% 2.45±0.00±0.09 2.37 (1.19±0.00±0.21)×10-1 1.22×10-1
  5–10% 2.41±0.01±0.10 2.33 (1.04±0.00±0.19)×10-1 1.01×10-1
  10–20% 2.34±0.00±0.11 2.28 (8.42±0.02±1.50)×10-2 7.86×10-2
  20–30% 2.21±0.00±0.12 2.18 (6.16±0.02±1.10)×10-2 5.58×10-2
  30–40% 2.05±0.00±0.12 2.04 (4.25±0.01±0.75)×10-2 3.82×10-2
  40–50% 1.88±0.01±0.12 1.87 (2.73±0.01±0.48)×10-2 2.46×10-2
  50–60% 1.70±0.01±0.11 1.66 (1.62±0.01±0.28)×10-2 1.47×10-2
  60–70% 1.46±0.01±0.12 1.45 (8.35±0.14±1.43)×10-3 7.58×10-3
  70–80% 1.27±0.02±0.11 1.25 (3.52±0.06±0.63)×10-3 3.22×10-3
  80–90% 1.09±0.02±0.40 1.10 (1.13±0.03±0.23)×10-3 0.925×10-3
3He¯ 0–5% 3.465±0.013±0.154±0.144 3.26 (24.70±0.28±2.29±0.30)×10-5 25.6×10-5
  5–10% 3.368±0.014±0.141±0.132 3.21 (20.87±0.26±1.95±0.43)×10-5 21.4×10-5
  10–30% 3.237±0.021±0.157±0.150 3.08 (15.94±0.31±1.53±0.34)×10-5 14.8×10-5
  30–50% 2.658±0.016±0.084±0.049 2.64 (7.56±0.13±0.70±0.10)×10-5 7.16×10-5
  50–90% 2.057±0.023±0.090±0.027 1.77 (1.19±0.08±0.16±0.14)×10-5 0.931×10-5
t¯ 0–10% 3.368±0.241±0.060 3.27 (24.45±1.75±2.71)×10-5 24.6×10-5
  10–30% 3.015±0.286±0.040 3.11 (14.19±1.35±1.29)×10-5 15.9×10-5
  30–50% 2.524±0.593±0.180 2.68 (7.24±1.70±0.65)×10-5 7.97×10-5
  50–90% 1.636±0.226±0.040 1.80 (1.66±0.23±0.16)×10-5 1.14×10-5
Show more
3.4
Yield ratios of light nuclei

Yield ratios carry information on the intrinsic production correlations of different light nuclei and are predicted to exhibit nontrivial behaviors [61]. This subsection presents the centrality dependence of different yield ratios, such as d/p, 3He¯/p¯, d/p2, 3He¯/p¯3, and t¯/3He¯.

Figure 6(a) and (b) show the dNch/dη dependence of d/p and 3He¯/p¯ in Pb+Pb collisions at sNN=5.02 TeV. Filled circles with error bars represent experimental data [82], and open circles connected with dashed lines to guide the eye represent the theoretical results. From Eq. (15), we approximately obtain the pT-integrated yield ratio as dpNpRf3(C0+σd2Rf2)C0γ2+σd2Rf2=NpRf3/γ×1(C0+σd2Rf2)C0+σd2Rf2/γ2, (34) where the angle brackets denote the averaged values. Equation (34) implies that the behavior of d/p is determined by two factors—one is the nucleon number density NpRf3/γ, and the other is the suppression effect from the relative size of the d to the hadronic source system σdRf. Similar case holds for 3He¯/p¯. The nucleon number density decreases, specifically from semi-central to central collisions [80], thereby decreasing d/p and 3He¯/p¯ with increasing dNch/dη. The relative size σdRf decreases and its suppression effect becomes weak in large hadronic systems, thereby increasing d/p and 3He¯/p¯ with increasing dNch/dη [83]. For significantly high dNch/dη area values, the difference in the suppression extents in different centralities becomes insignificant, and the decreasing nucleon number density dominates the decreasing behavior of d/p and 3He¯/p¯. For low dNch/dη area values, different suppression extents of the relative size in different centralities increase d/p and 3He¯/p¯ as a function of dNch/dη. The final conjunct result from the nucleon number density and the suppression effect first increases d/p and 3He¯/p¯ from peripheral to semi-central collisions and then decreases them from semi-central to central collisions, as shown in Fig. 6(a) and (b).

Fig. 6
(Color online) Yield ratios (a) d/p, (b) 3He¯/p¯, (c) d/p2, and (d) 3He¯/p¯3 as a function of dNch/dη in Pb+Pb collisions at sNN=5.02 TeV. Filled circles with error bars represent experimental data [62, 77], and open circles connected with dashed lines to guide the eye represent the theoretical results
pic

Figure 6(c) and (d) show d/p2 and 3He¯/p¯3 as a function of dNch/dη in Pb+Pb collisions at sNN=5.02 TeV. Filled circles with error bars represent experimental data [82]. Open circles connected with dashed lines to guide the eye represent the theoretical results. Evidently, both graphs exhibit explicit decreasing trends with the increasing dNch/dη and are very different from the previous trends observed for d/p and 3He¯/p. As d/p2 and 3He¯/p¯3 represent the probability of any pn-pair coalescing into a deuteron and that of any p¯p¯n¯-cluster coalescing into a 3He¯, respectively, it is more difficult for any pn-pair or p¯p¯n¯-cluster to recombine into a deuteron or 3He¯ in the larger hadronic system produced in a more central collision.

Therefore, a yield ratio t/3He is proposed as a valuable probe to distinguish the thermal and coalescence productions for light nuclei [61]. In the coalescence framework, the ratio is always greater than one and approaches one at large Rf values, where the suppression effect from the nucleus size can be ignored. The smaller the Rf value, the higher the deviation of t/3He from one. The same case holds for t¯/3He¯. Figure 7 shows t¯/3He¯ as a function of pT in Pb+Pb collisions at sNN=5.02 TeV in different centralities 0–10%, 10–30%, 30–50% and 50–90%. Filled circles with error bars represent experimental data [62], and solid lines represent the theoretical results. A reference line of one is plotted as a dotted line. With the increasing pT, Rf decreases; consequently, our theoretical results increase. However, this trend is different from that observed in the thermal model, where the expectation for this ratio is one [43]. The trend of the data in 0–10%, 10–30%, and 30–50% centralities is increasing, but a final conclusion is hard to make owing to the limited pT range and the large error bars. Data in the peripheral 50–90% centrality seem to decrease, but further, more precise measurements are needed to confirm this trend. More precise data must be obtained in the future to further distinguish the production mechanisms of 3He¯ and t¯.

Fig. 7
(Color online) Yield ratio t¯/3He¯ as a function of pT in different centralities in Pb+Pb collisions at sNN=5.02 TeV. Filled circles with error bars represent experimental data [62], and solid lines represent the theoretical results
pic

The pT-integrated yield ratio t¯/3He¯ as a function of dNch/dη is shown in Fig. 8. Filled circles with error bars represent experimental data [62], and open circles connected with the dashed line to guide the eye represent the theoretical results. A reference line of one is also plotted as a dotted line. Here, t¯/3He¯ exhibits a decreasing trend. This is because of the larger dNch/dη values, i.e., the larger Rf values decreases t¯/3He¯ to be closer to one. Theoretical results of t¯/3He¯ in the coalescence model show a non-flat behavior as a function of dNch/dη. This is due to the different relative production suppression between 3He¯ and t¯ from their own sizes at different hadronic system scales.

Fig. 8
(Color online) Yield ratio t¯/3He¯ as a function of dNch/dη in Pb+Pb collisions at sNN=5.02 TeV. Filled circles with error bars represent experimental data [62], and open circles connected with dashed lines to guide the eye represent the theoretical results
pic
4

Results of hypertriton and Ω-hypernuclei

This section presents the use of the coalescence model presented in Sect. 2 to study the production of the hypertriton Λ3H and Ω-hypernuclei. Results of the pT spectra, the averaged pT, and the yield rapidity densities of Λ3H are presented. Predictions of different Ω-hypernuclei, H(pΩ-), H(nΩ-), and H(pnΩ-) are reported. We propose two groups of observables, both of which exhibit novel behaviors. One group refers to the averaged transverse momentum ratios of light nuclei to the proton and hypernuclei to hyperons. The other is the centrality-dependent yield ratios of light (hyper-)nuclei to the proton (hyperons).

4.1
pT spectra of Λ and Ω- hyperons

The pT spectra of Λ and Ω- hyperons are necessary for computing pT distributions of Λ3H and Ω-hypernuclei. We use the blast-wave model to get pT distribution functions by fitting the experimental data of Λ and Ω- in Pb+Pb collisions at sNN=5.02 TeV in 0–10%, 10–30%, and 30–50% centralities [84]. They are shown in Fig. 9. Filled symbols with error bars represent experimental data [84], and dashed lines represent the results of the blast-wave model. Values of the blast-wave fit parameters for Λ and Ω- are listed in Table 2. The pT spectra in 0–10%, 10–30%, and 30-50% centralities are scaled by 20, 2-1, and 2-2, respectively, for clarity in the figure. We have also studied the pT spectra of Λ and Ω- hyperons with the Quark Combination Model developed by the Shandong group (SDQCM) in another work [85], where the results are consistent with the blast-wave model results at low and intermediate pT regions. Thus, we adopted these Λ and Ω- hyperons in Fig. 9 to compute productions of the Λ3H and Ω-hypernuclei. The values of parameters a and b in Rf(pT) for H(pΩ-) and H(nΩ-) are the same as those for the deuteron, and those for Λ3H and H(pnΩ-) are the same as the values for 3He. Thus, our calculated results for the Λ3H and Ω-hypernuclei are parameter-free, and they are more potent for further testing of the coalescence mechanism in describing the production of nuclei with strangeness flavor quantum number.

Fig. 9
(Color online) pT spectra of (a) Λ and (b) Ω- in different centralities in Pb+Pb collisions at sNN=5.02 TeV. Symbols with error bars represent experimental data [84], and dashed lines represent the results of the blast-wave model
pic
Table 2
Values of parameters in the blast-wave model for Λ and Ω- in different centralities in Pb+Pb collisions at sNN=5.02 TeV
  Centrality Tkin (GeV) βT n
Λ 0–10% 0.090 0.670 0.64
  10–30% 0.092 0.648 0.70
  30–50% 0.095 0.622 0.78
Ω 0–10% 0.095 0.627 0.78
  10–30% 0.097 0.569 1.05
  30–50% 0.100 0.549 1.15
Show more
4.2
Results of the Λ3H

Based on Eq. (27), we compute the production of the Λ3H. Considering that the experimental measurements of the Λ3H suggest a halo structure with a d core encircled by a Λ, we first use σ1=2(mp+mn)23(mp2+mn2)Rd and σ2=2(md+mΛ)29(md2+mΛ2)rΛd. The Λd distance rΛd is evaluated via rΛd=2/(4μBΛ) [86], where μ is the reduced mass, and the binding energy BΛ is adopted to be the latest and most precise measurement reported to date 102 keV [63]. We also considered a spherical shape for the Λ3H to execute the calculation to evaluate the influence of the shape on its production. In this case, σ1=mΛ(mp+mn)(mp+mn+mΛ)mpmn(mp+mn)+mnmΛ(mn+mΛ)+mΛmp(mΛ+mp)RΛ3H, σ2 =4mpmn(mp+mn+mΛ)23(mp+mn)[mpmn(mp+mn)+mnmΛ(mn+mΛ)+mΛmp(mΛ+mp)]RΛ3H, where the root-mean-square radius RΛ3H is adopted to be 4.9 fm [2]. Figure 10 shows the pT spectra of the Λ3H in 0–10%, 10–30%, and 30–50% centralities in Pb+Pb collisions at sNN=5.02 TeV. Filled symbols with error bars represent the experimental data [64]. Solid lines represent the theoretical results of the coalescence model with the halo structure, and dashed lines represent the results for the model with the spherical shape. The pT spectra in different centralities are scaled by different factors for clarity, as shown in the figure. As observed from Fig. 10, a weak difference exists in the theoretical results of the pT spectra between the halo structure and the spherical shape, and the latter gives a little softer pT spectra. The results with a halo structure approach the available data better, for amplitude and shape. This is also observed in the averaged transverse momenta pT results and yield rapidity densities dN/dy of Λ3H.

Fig. 10
(Color online) pT spectra of the Λ3H in different centralities in Pb+Pb collisions at sNN=5.02 TeV. Filled symbols with error bars represent the experimental data [64]. The solid and dashed lines represent the theoretical results with a halo structure and a spherical shape, respectively
pic

Table 3 presents pT and dN/dy of Λ3H in different centralities in Pb+Pb collisions at sNN=5.02 TeV. Experimental data in the seventh column are obtained from Ref. [64]. Theory-4.9 in the third and eighth columns denotes the theoretical results for the model with a spherical shape at RΛ3H=4.9 fm. Theory-102 in the fourth and ninth columns represents the theoretical results at BΛ=102 keV. Theory-148 in the fifth and tenth columns represents the theoretical results at a word averaged value of BΛ=148 keV [63]. We also present the theoretical results at BΛ=410 keV measured by the STAR collaboration [38] in the sixth and eleventh columns. Clear decreasing trends for pT and dN/dy from central to semi-central collisions are observed. This is the same as the results for light nuclei; this is because, in more central collisions, more energy is deposited in the midrapidity region, and collective evolution exists for longer. For the halo structure, with the increase of the BΛ, the size of the Λ3H decreases, and the suppression effect from the Λ3H size becomes relatively weak. This leads to an increase of dN/dy with the increasing BΛ. Besides dN/dy, such production suppression effect also affects the pT distribution [61, 87]. This is because the suppression effect becomes stronger with a larger nucleus size in a smaller system. Recalling that Rf(pT) decreases with pT, the Λ3H production is more suppressed in larger pT areas in the case of larger Λ3H size. Hence, pT follows a decreasing trend with the decreasing BΛ, as listed in Table 3. This is why the pT of Λ3H is even smaller than that of the triton, whereas the pT of Λ is larger than that of the nucleon.

Table 3
Averaged transverse momenta pT and yield rapidity densities dN/dy of Λ3H in different centralities in Pb+Pb collisions at sNN=5.02 TeV. Experimental data in the seventh column are obtained from Ref. [64]. Theory-4.9 denotes the theoretical results for the model with a spherical shape at RΛ3H=4.9 fm. Theory-102, Theory-148, and Theory-410 denote the theoretical results for the model with a halo structure at BΛ=102, 148, and 410 keV, respectively
  Centrality pT (GeV/c) dN/dy (×105)
Theory-4.9 Theory-102 Theory-148 Theory-410 Data Theory-4.9 Theory-102 Theory-148 Theory-410
Λ3H 0–10% 3.16 3.19 3.24 3.37 4.83±0.23±0.57 6.09 5.96 7.75 12.7
  10–30% 2.90 2.94 2.99 3.11 2.62±0.25±0.40 2.98 2.99 4.07 7.44
  30–50% 2.46 2.52 2.55 2.65 1.27±0.10±0.14 0.875 0.932 1.35 2.94
Show more

Owing to its small binding energy compared to other light (hyper-)nuclei, the Λ3H has a very loosely-bound structure and a relatively large size. It would be easily destroyed after its formation from freezeout nucleons and Λ’s. As a result, the Λ3H is more likely to be produced later than the kinetic freezeout time for the hadronic matter. In Ref. [88], the dependence of the yield of the Λ3H on its freezeout time has been studied, and found that the dependence is very weak. This suggests that Λ3H abundance is essentially determined when nucleons and Λ’s freeze out from the system. So our coalescence calculations based on the same kinetic freezeout with light nuclei can still reasonably describe the experimental data of Λ3H.

4.3
Predictions of Ω-hypernuclei

The nucleon-Ω> dibaryon in the S-wave and spin-2 channel is an interesting candidate for the deuteron-like state [89, 90]. The HAL QCD collaboration has reported the root-mean-square radius of H(pΩ-) is about 3.24 fm and that of H(nΩ-) is 3.77 fm [91]. According to Eq. (15), we study their productions, where the spin degeneracy factor gH(pΩ)=gH(nΩ)=5/8. Fig. 11 shows predictions for their pT spectra in 0-10%, 10-30%, and 30-50% centralities with solid, dashed, and dash-dotted lines, respectively, in Pb+Pb collisions at sNN=5.02 TeV. Different lines are scaled by different factors for clarity, as shown in the figure.

Fig. 11
(Color online) Predictions of the pT spectra of (a) H(pΩ-) and (b) H(nΩ-) in different centralities in Pb+Pb collisions at sNN=5.02 TeV
pic

Table 4 presents predictions of the averaged transverse momenta pT and yield rapidity densities dN/dy of H(pΩ-) and H(nΩ-). Both of them decrease from central to semi-central collisions, similar to light nuclei and the Λ3H. The slightly lower results of H(nΩ-) than H(pΩ-) come from its slightly larger size.

Table 4
Predictions of averaged transverse momenta pT and yield rapidity densities dN/dy of H(pΩ-) and H(nΩ-) in different centralities in Pb+Pb collisions at sNN=5.02 TeV
  Centrality pT (GeV/c) dN/dy (×104)
H(pΩ-) 0–10% 2.84 9.80
  10–30% 2.44 6.27
  30–50% 2.18 2.16
H(nΩ-) 0–10% 2.81 8.75
  10–30% 2.41 5.46
  30–50% 2.15 1.79
Show more

The H(pnΩ-) with maximal spin-52 is proposed to be one of the most promising partners of the t and Λ3H with multi-strangeness flavor quantum number [92]. With Eq. (27), we study its production and the spin degeneracy factor gH(pnΩ)=3/8. As its root-mean-square radius RH(pnΩ) is undetermined, we adopt 1.5, 2.0, and 2.5 fm to execute calculations, respectively. Figure 12 shows predictions of the pT spectra in 0–10%, 10–30% and 30–50% centralities in Pb+Pb collisions at sNN=5.02 TeV. Solid, dashed, and dash-dotted lines denote results with RH(pnΩ)=1.5, 2.0, and 2.5 fm, respectively, which are scaled by different factors for clarity as shown in the figure. Table 5 presents predictions of the averaged transverse momenta pT and yield rapidity densities dN/dy of H(pnΩ-). Theory-1.5, Theory-2.0, and Theory-2.5 denote the theoretical results at RH(pnΩ)=1.5, 2.0, and 2.5 fm, respectively.

Fig. 12
(Color online) Predictions of the pT spectra of H(pnΩ-) in different centralities in Pb+Pb collisions at sNN=5.02 TeV
pic
Table 5
Predictions of averaged transverse momenta pT and yield rapidity densities dN/dy of H(pnΩ-) in different centralities in Pb+Pb collisions at sNN=5.02 TeV. Theory-1.5, Theory-2.0, and Theory-2.5 denote the theoretical results at RH(pnΩ)=1.5, 2.0, and 2.5 fm, respectively
  Centrality pT (GeV/c) dN/dy (×106)
Theory-1.5 Theory-2.0 Theory-2.5 Theory-1.5 Theory-2.0 Theory-2.5
H(pnΩ-) 0–10% 3.94 3.88 3.82 4.77 4.17 3.56
  10–30% 3.44 3.36 3.29 3.50 2.95 2.41
  30–50% 2.98 2.89 2.81 1.60 1.24 0.92
Show more

Our predictions in the central collisions for H(pΩ-) and H(nΩ-) are of the same magnitude as those with BLWC and AMPTC models in Ref. [93], and those for H(pnΩ-) are of the same magnitude as reported in Ref. [94]. Our predictions in other centralities provide more detailed references for centrality-dependent measurements of these Ω-hypernuclei in future LHC experiments.

4.4
Averaged transverse momentum ratios and yield ratios

Based on the results of light nuclei and hypernuclei presented above, we study two groups of interesting observables as powerful probes for the production correlations of different species of nuclei. One group refers to the pT ratios of light nuclei to the proton and hypernuclei to hyperons. The other is their centrality-dependent yield ratios.

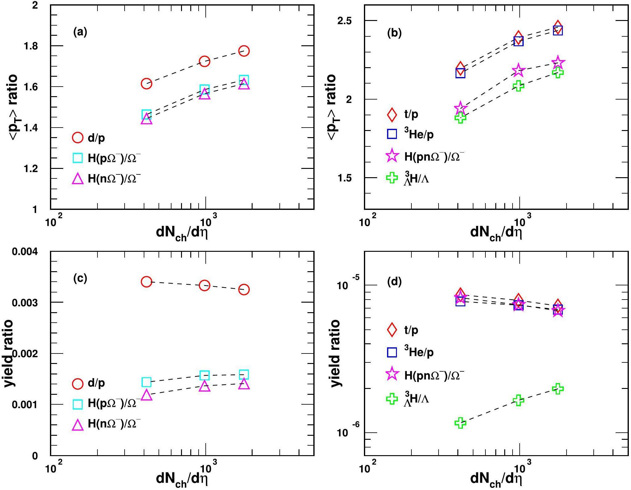
Figure 13(a) and (b) show the pT ratios of dibaryon states to baryons and those of tribaryon states to baryons, i.e., pTdpTp, pTH(pΩ)pTΩ, pTH(nΩ)pTΩ, pTtpTp, pT3HepTp, pTΛ3HpTΛ and pTH(pnΩ)pTΩ. Open symbols connected by dashed lines to guide the eye represent the theoretical results of the coalescence model. All these pT ratios increase as a function of dNch/dη owing to the stronger collective flow in more central collisions. More interestingly, these pT ratios of light nuclei to nucleons and hypernuclei to hyperons happen to offset the pT differences of p, Λ, and Ω-. This makes them more powerful in bringing the characteristics resulting from the production mechanism to light. Both dibaryon-to-baryon and tribaryon-to-baryon pT ratios exhibit a reverse hierarchy of the nucleus sizes at any centrality, i.e., pTdpTp>pTH(pΩ)pTΩ>pTH(nΩ)pTΩ as Rd<RH(pΩ)<RH(nΩ), and pTtpTp>pT3HepTp>pTH(pnΩ)pTΩ>pTΛ3HpTΛ as Rt<R3He<RH(pnΩ)<RΛ3H. Here, we consider results of H(pnΩ-) at RH(pnΩ)=2 fm for exhibition, and those at RH(pnΩ)=1.5, 2.5 fm give the same conclusion, a reverse hierarchy of the nucleus size. Such reverse hierarchy comes from stronger production suppression for light (hyper-) nuclei with larger sizes in higher pT regions. This production property is considerably different from the thermal model in which these ratios are approximately equal to each other [43].

Fig. 13
(Color online) The pT ratios of (a) dibaryon states to baryons, (b) tribaryon states to baryons, and the yield ratios of (c) dibaryon states to baryons, (d) tribaryon states to baryons as a function of dNch/dη in Pb+Pb collisions at sNN=5.02 TeV. Different open symbols connected with dashed lines to guide the eye are the theoretical results
pic

Figure 13(c) and (d) show yield ratios of dibaryon states to baryons and those of tribaryon states to baryons. Open symbols connected with dashed lines to guide the eye represent the theoretical results of the coalescence model. Some of these ratios such as d/p, t/p, 3He/p and H(pnΩ-)/Ω- decrease while the others H(pΩ-)/Ω-, H(nΩ)/Ω and Λ3H/Λ increase as a function of dNch/dη.

From Eqs. (15) and (27), similar as Eq. (34), we approximately have   dpH(pΩ)ΩH(nΩ)ΩNpRf3(C0+σ2Rf2)C0γ2+σ2Rf2=NpRf3/γ×1(C0+σ2Rf2)C0+σ2Rf2/γ2, (35) and tp3HepΛ3HΛH(pnΩ)ΩNp2 Rf 6(C0+σ12 Rf 2)C0 γ 2+σ12 Rf 2×1(4C03+σ22 Rf 2)4C03 γ 2+σ22 Rf 2=(Np Rf 3/ γ )21(C0+σ12 Rf 2)C0+σ12 Rf 2/ γ 2×1(4C03+σ22 Rf 2)4C03+σ22 Rf 2/ γ 2. (36) Eqs. (35) and (36) show that behaviors of these two-particle yield ratios closely relate with the nucleon number density NpRf3/γ and the production suppression effect items of the relative size of nuclei to hadronic source systems σRf, σ1Rf and σ2Rf.

For the limit case of the nuclei with considerably small (negligible) sizes compared to the hadronic system scale, the dNch/dη-dependent behaviors of their yield ratios to baryons are completely determined by the nucleon number density. For the general case, the item σiRf suppresses these ratios, and such suppression becomes weaker in larger hadronic systems. This makes these yield ratios increase from peripheral to central collisions, i.e., with the increasing dNch/dη. The larger the nucleus size, the stronger the increase as a function of dNch/dη. The nucleon density decreases with increasing dNch/dη [80], which makes these ratios decrease. As the root-mean-square radii of d, t, 3He, and H(pnΩ-) are approximately equal or smaller than 2 fm, the decreasing nucleon density dominates the behaviors of their yield ratios to baryons. But for H(pΩ-), H(nΩ-) and Λ3H, their root-mean-square radii are larger than 3 fm, the production suppression effect from their sizes becomes dominant, which leads their yield ratios to baryons increase as a function of dNch/dη. Such different centrality-dependent behaviors can help justify the sizes of more light nuclei and hypernuclei in future experiments.

5

Summary

This study extended the analytical coalescence model previously developed for the productions of light nuclei to include the hyperon coalescence to simultaneously study the production characteristics of d, 3He¯, t¯, Λ3H, and Ω-hypernuclei. To this end, the formulae of momentum distributions of two baryons coalescing into dibaryon states and three baryons coalescing into tribaryon states were derived. The relationships of dibaryon states and tribaryon states with primordial baryons in momentum space in the laboratory frame were presented, and the effects of the hadronic system scale and the nucleus’s size on the nucleus production were demonstrated.

The extended coalescence model was applied to Pb+Pb collisions at sNN=5.02 TeV. Available data on B2 and B3, pT spectra, averaged transverse momenta, and yield rapidity densities of the d, 3He¯, t¯, and Λ3H measured by the ALICE collaboration were explained. Moreover, the pT spectra, averaged transverse momenta, and yield rapidity densities of different Ω-hypernuclei, e.g., H(pΩ-), H(nΩ-), and H(pnΩ-), were predicted for future experimental measurements.

Notably, this study presented two groups of novel observables. One referred to the averaged transverse momentum ratios pTdpTp, pTH(pΩ)pTΩ, pTH(nΩ)pTΩ, pTtpTp, pT3HepTp, pTΛ3HpTΛ, and pTH(pnΩ)pTΩ. These ratios exhibited a reverse hierarchy according to the sizes of the nuclei themselves at any collision centrality. The other group of observables involved the centrality-dependent yield ratios dp, H(pΩ)Ω, H(nΩ)Ω, tp, 3Hep, Λ3HΛ, and H(pnΩ)Ω. Some of these yield ratios dp, tp, 3Hep, and H(pnΩ)Ω decreased while the others H(pΩ)Ω, H(nΩ)Ω, and Λ3HΛ increased as a function of dNch/dη. Such different trends were caused by different production suppression degrees from the nucleus sizes. The behaviors of these two groups of ratios in the coalescence mechanism were different from the thermal model. Therefore, these are powerful observables for probing the production mechanism of light (hyper-)nuclei and can reveal the production mechanisms of different types of nuclei in the coalescence framework.

References
1.J. Chen, D. Keane, Y.G. Ma et al.,

Antinuclei in Heavy-Ion Collisions

. Phys. Rept. 760, 1-39 (2018). arXiv:1808.09619, https://doi.org/10.1016/j.physrep.2018.07.002
Baidu ScholarGoogle Scholar
2.H. Nemura, Y. Suzuki, Y. Fujiwara et al.,

Study of light Lambda and Lambda-Lambda hypernuclei with the stochastic variational method and effective Lambda N potentials

. Prog. Theor. Phys. 103, 929-958 (2000). arXiv:nucl-th/9912065, https://doi.org/10.1143/PTP.103.929
Baidu ScholarGoogle Scholar
3.D. Oliinychenko,

Overview of light nuclei production in relativistic heavy-ion collisions

. Nucl. Phys. A 1005, 121754 (2021). arXiv:2003.05476, https://doi.org/10.1016/j.nuclphysa.2020.121754
Baidu ScholarGoogle Scholar
4.K.J. Sun, L.W. Chen, C.M. Ko et al.,

Light nuclei production as a probe of the QCD phase diagram

. Phys. Lett. B 781, 499-504 (2018). arXiv:1801.09382, https://doi.org/10.1016/j.physletb.2018.04.035
Baidu ScholarGoogle Scholar
5.K. Blum, M. Takimoto,

Nuclear coalescence from correlation functions

. Phys. Rev. C 99, 044913 (2019). arXiv:1901.07088, https://doi.org/10.1103/PhysRevC.99.044913
Baidu ScholarGoogle Scholar
6.P. Braun-Munzinger, B. Dönigus,

Loosely-bound objects produced in nuclear collisions at the LHC

. Nucl. Phys. A 987, 144-201 (2019). arXiv:1809.04681, https://doi.org/10.1016/j.nuclphysa.2019.02.006
Baidu ScholarGoogle Scholar
7.S. Mrowczynski,

Production of light nuclei at colliders – coalescence vs. thermal model

. Eur. Phys. J. ST 229, 3559-3583 (2020). arXiv:2004.07029, https://doi.org/10.1140/epjst/e2020-000067-0
Baidu ScholarGoogle Scholar
8.R. Wang, Y.G. Ma, L.W. Chen et al.,

Kinetic approach of light-nuclei production in intermediate-energy heavy-ion collisions

. Phys. Rev. C 108, L031601 (2023). arXiv:2305.02988, https://doi.org/10.1103/PhysRevC.108.L031601
Baidu ScholarGoogle Scholar
9.J. Aichelin,

’Quantum’ molecular dynamics: A Dynamical microscopic n body approach to investigate fragment formation and the nuclear equation of state in heavy ion collisions

. Phys. Rept. 202, 233-360 (1991). https://doi.org/10.1016/0370-1573(91)90094-3
Baidu ScholarGoogle Scholar
10.K.J. Sun, R. Wang, C.M. Ko et al.,

Unveiling the dynamics of little-bang nucleosynthesis

. Nature Commun. 15, 1074 (2024). arXiv:2207.12532, https://doi.org/10.1038/s41467-024-45474-x
Baidu ScholarGoogle Scholar
11.A. Andronic, P. Braun-Munzinger, K. Redlich et al.,

Decoding the phase structure of QCD via particle production at high energy

. Nature 561, 321-330 (2018). arXiv:1710.09425, https://doi.org/10.1038/s41586-018-0491-6
Baidu ScholarGoogle Scholar
12.K.J. Sun, L.W. Chen, C.M. Ko et al.,

Probing QCD critical fluctuations from light nuclei production in relativistic heavy-ion collisions

. Phys. Lett. B 774, 103-107 (2017). arXiv:1702.07620, https://doi.org/10.1016/j.physletb.2017.09.056
Baidu ScholarGoogle Scholar
13.A. Bzdak, S. Esumi, V. Koch et al.,

Mapping the Phases of Quantum Chromodynamics with Beam Energy Scan

. Phys. Rept. 853, 1-87 (2020). arXiv:1906.00936, https://doi.org/10.1016/j.physrep.2020.01.005
Baidu ScholarGoogle Scholar
14.H. Liu, D. Zhang, S. He et al.,

Light nuclei production in Au+Au collisions at sNN=5−200 GeV from JAM model

. Phys. Lett. B 805, 135452 (2020). [Erratum: Phys.Lett.B 829, 137132 (2022)]. arXiv:1909.09304, https://doi.org/10.1016/j.physletb.2020.135452
Baidu ScholarGoogle Scholar
15.X. Luo, S. Shi, N. Xu et al.,

A study of the properties of the QCD phase diagram in high-energy nuclear collisions

. Particles 3, 278-307 (2020). arXiv:2004.00789, https://doi.org/10.3390/particles3020022
Baidu ScholarGoogle Scholar
16.J. Steinheimer, M. Mitrovski, T. Schuster et al.,

Strangeness fluctuations and MEMO production at FAIR

. Phys. Lett. B 676, 126-131 (2009). arXiv:0811.4077, https://doi.org/10.1016/j.physletb.2009.04.062
Baidu ScholarGoogle Scholar
17.T. Shao, J. Chen, C.M. Ko et al.,

Yield ratio of hypertriton to light nuclei in heavy-ion collisions from sNN=4.9 GeV to 2.76 TeV

. Chin. Phys. C 44, 114001 (2020). arXiv:2004.02385, https://doi.org/10.1088/1674-1137/abadf0
Baidu ScholarGoogle Scholar
18.J.L. Nagle, B.S. Kumar, M.J. Bennett et al.,

Source size determination in relativistic nucleus-nucleus collisions

. Phys. Rev. Lett. 73, 1219-1222 (1994). https://doi.org/10.1103/PhysRevLett.73.1219
Baidu ScholarGoogle Scholar
19.S. Bazak, S. Mrowczynski,

Production of 4Li and p-3He correlation function in relativistic heavy-ion collisions

. Eur. Phys. J. A 56, 193 (2020). arXiv:2001.11351, https://doi.org/10.1140/epja/s10050-020-00198-6
Baidu ScholarGoogle Scholar
20.Y.X. Zhang, S. Zhang, Y.G. Ma,

Deuteron production mechanism via azimuthal correlation for p-p and p-Pb collisions at LHC energy with the AMPT model

. Eur. Phys. J. A 59, 72 (2023). https://doi.org/10.1140/epja/s10050-023-00980-2
Baidu ScholarGoogle Scholar
21.S.R. Beane, E. Chang, S.D. Cohen et al.,

Light nuclei and hypernuclei from quantum chromodynamics in the limit of SU(3) flavor symmetry

. Phys. Rev. D 87, 034506 (2013). arXiv:1206.5219, https://doi.org/10.1103/PhysRevD.87.034506
Baidu ScholarGoogle Scholar
22.Y.G. Ma,

Hypernuclei as a laboratory to test hyperon-nucleon interactions

. Nucl. Sci. Tech. 34, 97 (2023). https://doi.org/10.1007/s41365-023-01248-6
Baidu ScholarGoogle Scholar
23.P. Junnarkar, N. Mathur,

Deuteronlike heavy dibaryons from lattice quantum chromodynamics

. Phys. Rev. Lett. 123, 162003 (2019). arXiv:1906.06054, https://doi.org/10.1103/PhysRevLett.123.162003
Baidu ScholarGoogle Scholar
24.K. Morita, S. Gongyo, T. Hatsuda et al.,

Probing ΩΩand pΩdibaryons with femtoscopic correlations in relativistic heavy-ion collisions

. Phys. Rev. C 101, 015201 (2020). arXiv:1908.05414, https://doi.org/10.1103/PhysRevC.101.015201
Baidu ScholarGoogle Scholar
25.S. Afanasiev et al.,

Elliptic flow for phi mesons and (anti)deuterons in Au + Au collisions at sNN=200-GeV

. Phys. Rev. Lett. 99, 052301 (2007). arXiv:nucl-ex/0703024, https://doi.org/10.1103/PhysRevLett.99.052301
Baidu ScholarGoogle Scholar
26.T. Anticic et al.,

Production of deuterium, tritium, and He3 in central Pb + Pb collisions at 20A, 30A, 40A, 80A, and 158A GeV at the CERN Super Proton Synchrotron

. Phys. Rev. C 94, 044906 (2016). arXiv:1606.04234, https://doi.org/10.1103/PhysRevC.94.044906
Baidu ScholarGoogle Scholar
27.C. Adler et al.,

Anti-deuteron and anti-He-3 production in sNN=130-GeV Au+Au collisions

. Phys. Rev. Lett. 87, 262301 (2001). [Erratum: Phys.Rev.Lett. 87, 279902 (2001)]. arXiv:nucl-ex/0108022, https://doi.org/10.1103/PhysRevLett.87.262301
Baidu ScholarGoogle Scholar
28.J. Chen et al.,

Properties of the QCD matter: review of selected results from the relativistic heavy ion collider beam energy scan (RHIC BES) program

. Nucl. Sci. Tech. 35, 214 (2024). arXiv:2407.02935, https://doi.org/10.1007/s41365-024-01591-2
Baidu ScholarGoogle Scholar
29.B. Dönigus, G. Röpke, D. Blaschke,

Deuteron yields from heavy-ion collisions at energies available at the CERN Large Hadron Collider: Continuum correlations and in-medium effects

. Phys. Rev. C 106, 044908 (2022). arXiv:2206.10376, https://doi.org/10.1103/PhysRevC.106.044908
Baidu ScholarGoogle Scholar
30.L.L. Zhu, B. Wang, M. Wang et al.,

Energy and centrality dependence of light nuclei production in relativistic heavy-ion collisions

. Nucl. Sci. Tech. 33, 45 (2022). https://doi.org/10.1007/s41365-022-01028-8
Baidu ScholarGoogle Scholar
31.K.J. Sun, C.M. Ko,

Event-by-event antideuteron multiplicity fluctuation in Pb+Pb collisions at sNN=5.02 TeV

. Phys. Lett. B 840, 137864 (2023). arXiv:2204.10879, https://doi.org/10.1016/j.physletb.2023.137864
Baidu ScholarGoogle Scholar
32.F. Li, S. Zhang, K.J. Sun et al.,

Production of light nuclei in isobaric Ru + Ru and Zr + Zr collisions at sNN=7.7−200 GeV from a multiphase transport model

. Phys. Rev. C 109, 064912 (2024). arXiv:2405.11558, https://doi.org/10.1103/PhysRevC.109.064912
Baidu ScholarGoogle Scholar
33.S. Acharya et al.,

Elliptic and triangular flow of (anti)deuterons in Pb-Pb collisions at sNN=5.02 TeV

. Phys. Rev. C 102, 055203 (2020). arXiv:2005.14639, https://doi.org/10.1103/PhysRevC.102.055203
Baidu ScholarGoogle Scholar
34.L. Adamczyk et al.,

Measurement of elliptic flow of light nuclei at sNN=200, 62.4, 39, 27, 19.6, 11.5, and 7.7 GeV at the BNL relativistic heavy ion collider

. Phys. Rev. C 94, 034908 (2016). arXiv:1601.07052, https://doi.org/10.1103/PhysRevC.94.034908
Baidu ScholarGoogle Scholar
35.J. Adam et al.,

Beam-energy dependence of the directed flow of deuterons in Au+Au collisions

. Phys. Rev. C 102, 044906 (2020). arXiv:2007.04609, https://doi.org/10.1103/PhysRevC.102.044906
Baidu ScholarGoogle Scholar
36.J. Adam et al.,

Beam energy dependence of (anti-)deuteron production in Au + Au collisions at the BNL Relativistic Heavy Ion Collider

. Phys. Rev. C 99, 064905 (2019). arXiv:1903.11778, https://doi.org/10.1103/PhysRevC.99.064905
Baidu ScholarGoogle Scholar
37.M. Abdulhamid et al.,

Beam energy dependence of triton production and yield ratio (Nt×Np/Nd2) in Au+Au collisions at RHIC

. Phys. Rev. Lett. 130, 202301 (2023). arXiv:2209.08058, https://doi.org/10.1103/PhysRevLett.130.202301
Baidu ScholarGoogle Scholar
38.J. Adam et al.,

Measurement of the mass difference and the binding energy of the hypertriton and antihypertriton

. Nature Phys. 16, 409-412 (2020). arXiv:1904.10520, https://doi.org/10.1038/s41567-020-0799-7
Baidu ScholarGoogle Scholar
39.M. Abdallah et al.,

Measurements of HΛ3 and HΛ4 lifetimes and yields in Au+Au collisions in the high baryon density region

. Phys. Rev. Lett. 128, 202301 (2022). arXiv:2110.09513, https://doi.org/10.1103/PhysRevLett.128.202301
Baidu ScholarGoogle Scholar
40.J. Adam et al.,

Λ3H and Λ¯3H¯ production in Pb-Pb collisions at sNN=2.76 TeV

. Phys. Lett. B 754, 360-372 (2016). arXiv:1506.08453, https://doi.org/10.1016/j.physletb.2016.01.040
Baidu ScholarGoogle Scholar
41.A. Mekjian,

Thermodynamic model for composite particle emission in relativistic heavy ion collisions

. Phys. Rev. Lett. 38, 640-643 (1977). https://doi.org/10.1103/PhysRevLett.38.640
Baidu ScholarGoogle Scholar
42.P.J. Siemens, J.I. Kapusta,

Evidence for a soft nuclear matter equation of state

. Phys. Rev. Lett. 43, 1486-1489 (1979). https://doi.org/10.1103/PhysRevLett.43.1486
Baidu ScholarGoogle Scholar
43.A. Andronic, P. Braun-Munzinger, J. Stachel et al.,

Production of light nuclei, hypernuclei and their antiparticles in relativistic nuclear collisions

. Phys. Lett. B 697, 203-207 (2011). arXiv:1010.2995, https://doi.org/10.1016/j.physletb.2011.01.053
Baidu ScholarGoogle Scholar
44.J. Cleymans, S. Kabana, I. Kraus et al.,

Antimatter production in proton-proton and heavy-ion collisions at ultrarelativistic energies

. Phys. Rev. C 84, 054916 (2011). arXiv:1105.3719, https://doi.org/10.1103/PhysRevC.84.054916
Baidu ScholarGoogle Scholar
45.Y. Cai, T.D. Cohen, B.A. Gelman et al.,

Yields of weakly-bound light nuclei as a probe of the statistical hadronization model

. Phys. Rev. C 100, 024911 (2019). arXiv:1905.02753, https://doi.org/10.1103/PhysRevC.100.024911
Baidu ScholarGoogle Scholar
46.A. Schwarzschild, C. Zupancic,

Production of Tritons, Deuterons, Nucleons, and Mesons by 30-GeV Protons on A-1, Be, and Fe Targets

. Phys. Rev. 129, 854-862 (1963). https://doi.org/10.1103/PhysRev.129.854
Baidu ScholarGoogle Scholar
47.H. Sato, K. Yazaki,

On the coalescence model for high-energy nuclear reactions

. Phys. Lett. B 98, 153-157 (1981). https://doi.org/10.1016/0370-2693(81)90976-X
Baidu ScholarGoogle Scholar
48.R. Mattiello, A. Jahns, H. Sorge et al.,

Deuteron flow in ultrarelativistic heavy ion reactions

. Phys. Rev. Lett. 74, 2180-2183 (1995). https://doi.org/10.1103/PhysRevLett.74.2180
Baidu ScholarGoogle Scholar
49.L.W. Chen, C.M. Ko, B.A. Li,

Light clusters production as a probe to the nuclear symmetry energy

. Phys. Rev. C 68, 017601 (2003). arXiv:nucl-th/0302068, https://doi.org/10.1103/PhysRevC.68.017601
Baidu ScholarGoogle Scholar
50.W. Zhao, L. Zhu, H. Zheng et al.,

Spectra and flow of light nuclei in relativistic heavy ion collisions at energies available at the BNL Relativistic Heavy Ion Collider and at the CERN Large Hadron Collider

. Phys. Rev. C 98, 054905 (2018). arXiv:1807.02813, https://doi.org/10.1103/PhysRevC.98.054905
Baidu ScholarGoogle Scholar
51.R. Mattiello, H. Sorge, H. Stocker et al.,

Nuclear clusters as a probe for expansion flow in heavy ion reactions at 10-A/GeV - 15-A/GeV

. Phys. Rev. C 55, 1443-1454 (1997). arXiv:nucl-th/9607003, https://doi.org/10.1103/PhysRevC.55.1443
Baidu ScholarGoogle Scholar
52.P. Liu, J.H. Chen, Y.G. Ma et al.,

Production of light nuclei and hypernuclei at High Intensity Accelerator Facility energy region

. Nucl. Sci. Tech. 28, 55 (2017). [Erratum: Nucl.Sci.Tech. 28, 89 (2017)]. https://doi.org/10.1007/s41365-017-0207-x
Baidu ScholarGoogle Scholar
53.T.T. Wang, Y.G. Ma,

Nucleon-number scalings of anisotropic flows and nuclear modification factor for light nuclei in the squeeze-out region

. Eur. Phys. J. A 55, 102 (2019). arXiv:2002.06067, https://doi.org/10.1140/epja/i2019-12788-0
Baidu ScholarGoogle Scholar
54.C.B. Dover, U.W. Heinz, E. Schnedermann et al.,

Relativistic coalescence model for high-energy nuclear collisions

. Phys. Rev. C 44, 1636-1654 (1991). https://doi.org/10.1103/PhysRevC.44.1636
Baidu ScholarGoogle Scholar
55.J.L. Nagle, B.S. Kumar, D. Kusnezov et al.,

Coalescence of deuterons in relativistic heavy ion collisions

. Phys. Rev. C 53, 367-376 (1996). https://doi.org/10.1103/PhysRevC.53.367
Baidu ScholarGoogle Scholar
56.W. Zhao, K.j. Sun, C.M. Ko et al.,

Multiplicity scaling of light nuclei production in relativistic heavy-ion collisions

. Phys. Lett. B 820, 136571 (2021). arXiv:2105.14204, https://doi.org/10.1016/j.physletb.2021.136571
Baidu ScholarGoogle Scholar
57.Y.H. Feng, C.M. Ko, Y.G. Ma et al.,

Jet-induced enhancement of deuteron production in pp and p-Pb collisions at the LHC

. Phys. Lett. B 859, 139102 (2024). arXiv:2408.01634, https://doi.org/10.1016/j.physletb.2024.139102
Baidu ScholarGoogle Scholar
58.X.Y. Zhao, Y.T. Feng, F.L. Shao et al.,

Production characteristics of light (anti-)nuclei from (anti-)nucleon coalescence in heavy ion collisions at energies employed at the RHIC beam energy scan

. Phys. Rev. C 105, 054908 (2022). arXiv:2201.10354, https://doi.org/10.1103/PhysRevC.105.054908
Baidu ScholarGoogle Scholar
59.R.Q. Wang, J.P. Lv, Y.H. Li et al.,

Different coalescence sources of light nucleus production in Au-Au collisions at GeV*

. Chin. Phys. C 48, 053112 (2024). arXiv:2210.10271, https://doi.org/10.1088/1674-1137/ad2b56
Baidu ScholarGoogle Scholar
60.R.Q. Wang, F.L. Shao, J. Song,

Momentum dependence of light nuclei production in p-p, p-Pb, and Pb-Pb collisions at energies available at the CERN Large Hadron Collider

. Phys. Rev. C 103, 064908 (2021). arXiv:2007.05745, https://doi.org/10.1103/PhysRevC.103.064908
Baidu ScholarGoogle Scholar
61.R.Q. Wang, Y.H. Li, J. Song et al.,

Production properties of deuterons, tritons, and He3 via an analytical nucleon coalescence method in Pb-Pb collisions at sNN=2.76 TeV

. Phys. Rev. C 109, 034907 (2024). arXiv:2309.16296, https://doi.org/10.1103/PhysRevC.109.034907
Baidu ScholarGoogle Scholar
62.S. Acharya et al.,

Light (anti)nuclei production in Pb-Pb collisions at sNN=5.02 TeV

. Phys. Rev. C 107, 064904 (2023). arXiv:2211.14015, https://doi.org/10.1103/PhysRevC.107.064904
Baidu ScholarGoogle Scholar
63.S. Acharya et al.,

Measurement of the lifetime and Λseparation energy of Λ3H

. Phys. Rev. Lett. 131, 102302 (2023). arXiv:2209.07360, https://doi.org/10.1103/PhysRevLett.131.102302
Baidu ScholarGoogle Scholar
64.S. Acharya et al.,

Measurement of Λ3H production in Pb–Pb collisions at sNN=5.02 TeV

. Phys. Lett. B 860, 139066 (2025). arXiv:2405.19839, https://doi.org/10.1016/j.physletb.2024.139066
Baidu ScholarGoogle Scholar
65.L.W. Chen, C.M. Ko, B.A. Li,

Light cluster production in intermediate-energy heavy ion collisions induced by neutron rich nuclei

. Nucl. Phys. A 729, 809-834 (2003). arXiv:nucl-th/0306032, https://doi.org/10.1016/j.nuclphysa.2003.09.010
Baidu ScholarGoogle Scholar
66.C.M. Ko, T. Song, F. Li et al.,

Partonic mean-field effects on matter and antimatter elliptic flows

. Nucl. Phys. A 928, 234-246 (2014). arXiv:1211.5511, https://doi.org/10.1016/j.nuclphysa.2014.05.016
Baidu ScholarGoogle Scholar
67.L. Zhu, C.M. Ko, X. Yin,

Light (anti-)nuclei production and flow in relativistic heavy-ion collisions

. Phys. Rev. C 92, 064911 (2015). arXiv:1510.03568, https://doi.org/10.1103/PhysRevC.92.064911
Baidu ScholarGoogle Scholar
68.S. Mrowczynski,

Production of light nuclei in the thermal and coalescence models

. Acta Phys. Polon. B 48, 707 (2017). arXiv:1607.02267, https://doi.org/10.5506/APhysPolB.48.707
Baidu ScholarGoogle Scholar
69.A. Kisiel, M. Gałażyn, P. Bożek,

Pion, kaon, and proton femtoscopy in Pb–Pb collisions at sNN=2.76 TeV modeled in (3+1)D hydrodynamics

. Phys. Rev. C 90, 064914 (2014). arXiv:1409.4571, https://doi.org/10.1103/PhysRevC.90.064914
Baidu ScholarGoogle Scholar
70.J. Adam et al.,

Centrality dependence of pion freeze-out radii in Pb-Pb collisions at sNN=2.76 TeV

. Phys. Rev. C 93, 024905 (2016). arXiv:1507.06842, https://doi.org/10.1103/PhysRevC.93.024905
Baidu ScholarGoogle Scholar
71.H.H. Gutbrod, A. Sandoval, P.J. Johansen et al.,

Final state interactions in the production of hydrogen and helium isotopes by relativistic heavy ions on uranium

. Phys. Rev. Lett. 37, 667-670 (1976). https://doi.org/10.1103/PhysRevLett.37.667
Baidu ScholarGoogle Scholar
72.A. Polleri, J.P. Bondorf, I.N. Mishustin,

Effects of collective expansion on light cluster spectra in relativistic heavy ion collisions

. Phys. Lett. B 419, 19-24 (1998). arXiv:nucl-th/9711011, https://doi.org/10.1016/S0370-2693(97)01455-X
Baidu ScholarGoogle Scholar
73.R. Scheibl, U.W. Heinz,

Coalescence and flow in ultrarelativistic heavy ion collisions

. Phys. Rev. C 59, 1585-1602 (1999). arXiv:nucl-th/9809092, https://doi.org/10.1103/PhysRevC.59.1585
Baidu ScholarGoogle Scholar
74.N. Sharma, T. Perez, A. Castro et al.,

Methods for separation of deuterons produced in the medium and in jets in high energy collisions

. Phys. Rev. C 98, 014914 (2018). arXiv:1803.02313, https://doi.org/10.1103/PhysRevC.98.014914
Baidu ScholarGoogle Scholar
75.Y.L. Cheng, S. Zhang, Y.G. Ma,

Collision centrality and system size dependences of light nuclei production via dynamical coalescence mechanism

. Eur. Phys. J. A 57, 330 (2021). arXiv:2112.03520, https://doi.org/10.1140/epja/s10050-021-00639-w
Baidu ScholarGoogle Scholar
76.I. Angeli, K.P. Marinova,

Table of experimental nuclear ground state charge radii: An update

. Atom. Data Nucl. Data Tabl. 99, 69-95 (2013). https://doi.org/10.1016/j.adt.2011.12.006
Baidu ScholarGoogle Scholar
77.M. Puccio, CERN-THESIS-2017-338. Ph.D. thesis, Turin U. (2017)
78.P. Chakraborty, A.K. Pandey, S. Dash,

Identical-particle (pion and kaon) femtoscopy in Pb–Pb collisions at sNN=5.02 TeV with Therminator 2 modeled with (3+1)D viscous hydrodynamics

. Eur. Phys. J. A 57, 338 (2021). arXiv:2010.12161, https://doi.org/10.1140/epja/s10050-021-00647-w
Baidu ScholarGoogle Scholar
79.J. Adams et al.,

Pion interferometry in Au+Au collisions at sNN=200-GeV

. Phys. Rev. C 71, 044906 (2005). arXiv:nucl-ex/0411036, https://doi.org/10.1103/PhysRevC.71.044906
Baidu ScholarGoogle Scholar
80.S. Acharya et al.,

Production of charged pions, kaons, and (anti-)protons in Pb-Pb and inelastic pp collisions at sNN=5.02 TeV

. Phys. Rev. C 101, 044907 (2020). arXiv:1910.07678, https://doi.org/10.1103/PhysRevC.101.044907
Baidu ScholarGoogle Scholar
81.E. Schnedermann, J. Sollfrank, U.W. Heinz,

Thermal phenomenology of hadrons from 200-A/GeV S+S collisions

. Phys. Rev. C 48, 2462-2475 (1993). arXiv:nucl-th/9307020, https://doi.org/10.1103/PhysRevC.48.2462
Baidu ScholarGoogle Scholar
82.J. Adam et al.,

Production of light nuclei and anti-nuclei in pp and Pb-Pb collisions at energies available at the CERN Large Hadron Collider

. Phys. Rev. C 93, 024917 (2016). arXiv:1506.08951, https://doi.org/10.1103/PhysRevC.93.024917
Baidu ScholarGoogle Scholar
83.K.J. Sun, C.M. Ko, B. Dönigus,

Suppression of light nuclei production in collisions of small systems at the Large Hadron Collider

. Phys. Lett. B 792, 132-137 (2019). arXiv:1812.05175, https://doi.org/10.1016/j.physletb.2019.03.033
Baidu ScholarGoogle Scholar
84.P. Kalinak,

Strangeness production in Pb-Pb collisions with ALICE at the LHC

. PoS EPS-HEP 2017, 168 (2017). https://doi.org/10.22323/1.314.0168
Baidu ScholarGoogle Scholar
85.W.b. Chang, R.q. Wang, J. Song et al.,

Production of strange and charm hadrons in Pb+Pb collisions at sNN=5.02 TeV

. Symmetry 15, 400 (2023). arXiv:2302.07546, https://doi.org/10.3390/sym15020400
Baidu ScholarGoogle Scholar
86.C.A. Bertulani,

Probing the size and binding energy of the hypertriton in heavy ion collisions

. Phys. Lett. B 837, 137639 (2023). arXiv:2211.12643, https://doi.org/10.1016/j.physletb.2022.137639
Baidu ScholarGoogle Scholar
87.D.N. Liu, C.M. Ko, Y.G. Ma et al.,

Softening of the hypertriton transverse momentum spectrum in heavy-ion collisions

. Phys. Lett. B 855, 138855 (2024). arXiv:2404.02701, https://doi.org/10.1016/j.physletb.2024.138855
Baidu ScholarGoogle Scholar
88.Z. Zhang, C.M. Ko,

Hypertriton production in relativistic heavy ion collisions

. Phys. Lett. B 780, 191-195 (2018). https://doi.org/10.1016/j.physletb.2018.03.003
Baidu ScholarGoogle Scholar
89.H. Clement,

On the history of dibaryons and their final observation

. Prog. Part. Nucl. Phys. 93, 195 (2017). arXiv:1610.05591, https://doi.org/10.1016/j.ppnp.2016.12.004
Baidu ScholarGoogle Scholar
90.J. Pu, K.J. Sun, C.W. Ma et al.,

Probing the internal structures of pΩ and ΩΩ with their production at the Large Hadron Collider

. Phys. Rev. C 110, 024908 (2024). arXiv:2402.04185, https://doi.org/10.1103/PhysRevC.110.024908
Baidu ScholarGoogle Scholar
91.T. Iritani et al.,

NΩ dibaryon from lattice QCD near the physical point

. Phys. Lett. B 792, 284-289 (2019). arXiv:1810.03416, https://doi.org/10.1016/j.physletb.2019.03.050
Baidu ScholarGoogle Scholar
92.H. Garcilazo, A. Valcarce,

ΩNN and ΩΩN states

. Phys. Rev. C 99, 014001 (2019). arXiv:1901.05678, https://doi.org/10.1103/PhysRevC.99.014001
Baidu ScholarGoogle Scholar
93.S. Zhang, Y.G. Ma,

Ω-dibaryon production with hadron interaction potential from the lattice QCD in relativistic heavy-ion collisions

. Phys. Lett. B 811, 135867 (2020). arXiv:2007.11170, https://doi.org/10.1016/j.physletb.2020.135867
Baidu ScholarGoogle Scholar
94.L. Zhang, S. Zhang, Y.G. Ma,

Production of ΩNN and ΩΩN in ultra-relativistic heavy-ion collisions

. Eur. Phys. J. C 82, 416 (2022). arXiv:2112.02766, https://doi.org/10.1140/epjc/s10052-022-10336-7
Baidu ScholarGoogle Scholar
Footnote

The authors declare that they have no competing interests.