1 Introduction
With the continuous development of space science, space industry attracts great attentions all over the world. The aerospace X/γ detectors, which are commonly installed on spacecraft, are of great importance in, for example, gamma-ray burst (GRB) observation[1, 2], elemental composition detection of planetary surface[3, 4], black hole investigation[5-7], study of the flare and solar energetic particle (SEP) events[8, 9], nuclear detonation inspection[10], and other fundamental or application researches. All these require the X/γ detectors of high energy resolution in energy region from dozens of keV to several MeV.
At present, radioactive isotopes, such as 241Am, 60Co, 137Cs, 40K and 208Tl are often used as aerospace X/γ detector calibration sources[11]. However, they provide isolated monoenergetic X/γ-rays and the detectors are calibrated through linear interpolation or extrapolation. This is not suitable for energy calibration over a wide energy region since the linearity of detectors’ response would become deteriorated[12-14]. Besides, radioactive isotopes can scarcely produce γ-rays of several MeV [15, 16]. Despite its good energy tunability from the infrared to the X-ray region, synchrotron radiation is not suitable for this task either, because it can hardly reach over 300 keV[17-19]. Bremsstrahlung can produce high energy photons, but its intensity changes slowly over a wide spectral range, making it not suitable for energy calibration[20].
Laser Compton Scattering (LCS) γ source is a potential solution to overcome the above difficulties. It uses high-power short-pulse laser beam with high-brightness relativistic electron beam to achieve Compton scattering and produce high-flux, short-pulse, quasi-monochromatic X/γ-ray. The past decades, with advances in accelerator and laser technology, witnessed rapid development of the LCS X/γ-ray source, which is rated as one of the most potential ultra-short pulse light sources[21]. Currently, LLNL[22], PLS[23], CLS[24], ELI-NP[25], ALBA[26], MIT[27], Spring-8[28, 29], JAEA[30], SSRF[31, 32], INFN[33], TUNL[34] and other research institutions are committed to the construction of the experimental devices of LCS.
With an energy-calibrated high-purity germanium (HPGe) detector, the exact energy and shape of the high energy edge of the measured Compton spectrum were used to determine the electron energy and the electron beam energy spread in BESSY I [35]. C. Sun et al. improved this beam diagnostics method with a more comprehensive model and successfully determined the electron beam energy of the HIGS’s storage ring[36, 37]. This technique can be applied to detector energy calibration with the electron beam of known energy, i.e., using a series of Compton edges of the X/γ-ray spectra produced by LCS to calibrate the detectors. Recently, at NewSUBARU, Hiroaki et al. attempted with a similar idea and calibrated LaBr3(Ce) detector at 10.19, 9.14 and 8.19 MeV with LCS Compton edges by changing the electron beam energy [14].
The proposed SINAP III [38, 39] facility is such a kind of LCS γ source: by changing continuously the colliding angle between the electron beam and laser beam, the steep Compton edge of scattered photon energy spectrum is thus continuously adjustable from 25 keV to 740 keV. In this paper, we present an energy calibration method developed to perform consecutive calibration over a wide energy region based on this facility.
In this article, the principle of consecutive energy calibration method and the calibration steps are introduced. The process to precisely determine location of the Compton edge is described in detail The simulation setups to study the dependence of the calibration accuracy on relevant systematic uncertainties are demonstrated. The simulation results and the calibration accuracy are discussed. Finally, we summarize this consecutive detector energy calibration method and propose the future application of this method on other LCS facilities.
2 Principle of consecutive detector energy calibration based on LCS
For relativistic electron, energy expressions of γ ray generated from laser electron Compton scattering [31, 40]is as following:
where EL and Ee are the incident photon and electron energy, respectively, in laboratory reference frame; θin is the angle between the incident laser and electron movement direction, referred to as the laser incident angle; and θ is the angle between the direction of movement of the scattered photons and electrons, referred to as the γ-ray scattering angle. When θin, EL, Ee are fixed, Eγ reaches the theoretical maximum value Emax when θ=0.
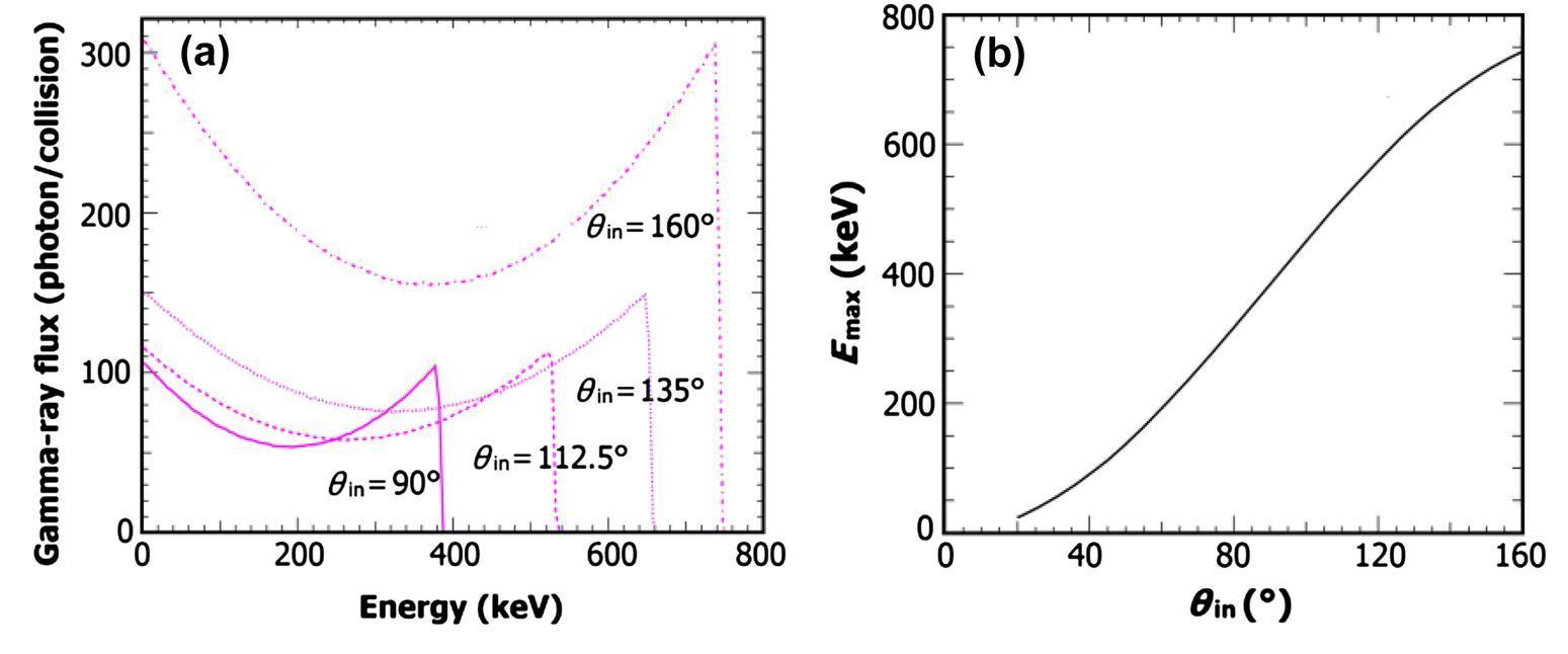
Energy spectrum of Compton scattering drops rapidly at Emax, generating a steep Compton edge. According to Eq. (2), when EL, Ee are fixed, Emax and θin is one-to-one corresponded[41]. SINAPIII is designed based on this principle. The simulated γ spectra of different laser incident angles θin generated by SINAPIII are shown in Fig.1(a). The Emax - θin relationship is shown in Fig.1(b).
-201709/1001-8042-28-09-002/alternativeImage/1001-8042-28-09-002-F001.jpg)
Thus, a consecutive energy calibration method based on the Compton edge can be carried out in following steps,
(1) Measure the LCS energy spectrum at a laser incident angle θin-i to obtain the Emax(i) by Eq. (2);
(2) Find the Compton edge channel address, i.e., Channel #(i);
(3) Change θin and repeat Steps (1) and (2);
(4) With the array of [Channel #(i), Emax(i)] occupied, a map between channel address and Emax can be generated, corresponding to a series of points on the plane where the channel address is the x coordinate and the γ-ray energy is the y coordinate. Finish the calibration by fitting the points with a polynomial equation just like what calibration is done in conventional way[11].
The advantage of this consecutive energy calibration method is that the points can be generated over a wide range of energy with very small intervals. On SINAP III, we can generate a series of Compton edges in energy steps of no larger than 0.07 keV by changing incident laser angle θin with 0.01°. This enables the calibration of a specific range near any particular energy of interest with tiny rotation of the incident laser and avoids the error brought by the extrapolation from full energy peaks of radioactive isotopes. The experiments with various radioactive isotope sources can be omitted, and the calibration process is easy to be automated.
3 Determination of the Compton edge location
In the above calibration steps, the key issue of this method is how to determine the channel address of the Compton edge Emax precisely. In actual situation, the systematic uncertainties or variables, such as energy spread ΔE/E and the emittance of electron bunches ε, would smear the Compton edge (Fig.2). Fortunately, as will be discussed later in Section 4, the corresponded energy at midpoint of the edge is quite stable if the systematic uncertainties do not vary too much during the calibration, and is approximately equal to Emax, with a difference of <1.6% (denoted as ΔEmax).
-201709/1001-8042-28-09-002/alternativeImage/1001-8042-28-09-002-F002.jpg)
So, the key to this method now turns into finding the midpoint of Compton edge Emid or channel number Cmid (Emid and Cmid are equivalent in this scenario, and we will always use Emid from now on) which is approximate enough to Emax. Two fitting methods are applied to the simulated energy spectra. The fitting function derived in Refs.[35, 36] is also applied as comparison. The results show that all the three methods can solve the problem with satisfactory accuracy.
The linear fitting method is of five steps:
(1) Find the channel Cpeak with the highest count Npeak in the spectrum. Start from Cpeak and search towards the right side of Cpeak, stop at the first channel Clow where the count is less than 20%Npeak.
(2) Choose the low platform (PL) of the energy spectrum near the Compton edge. The PL is in width of kL channels, with Clow being the initial left endpoint and NL being the platform height averaged from the counts of the kL channels. Move the platform one channel towards the right side and calculate NL again, denoted as NL'. If |NL−NL'|>0.01NL, i.e. if the platform is not well chosen, keep on moving the platform towards the right side channel by channel until |NL−NL'|<0.01NL. Then, the left and right endpoints of the final low platform are denoted as CdownL and CdownR, respectively.
(3) Choose the high platform (PH) of the energy spectrum near the Compton edge. Start from Clow and search towards the left side of Clow, stop at the first channel Chigh whose count is larger than 80%Npeak. The PH is in width of kH channels, with Chigh being the initial right endpoint, and NH being the platform height averaged from the counts of the kH channels. Move the platform one channel towards the left side and calculate NH again, denoted as NH'. If |NH−NH'|>0.001NH, keep on moving the platform towards the left side channel by channel until |NH−NH'|<0.001NH . Then, the left and right endpoints of the final chosen high platform are denoted as CupL and CupR, respectively.
(4) Perform a linear fitting to the intercepted energy spectrum between Chigh and Clow
where p1 and p0 are the coefficients to be determined, N is the count of channel, C is the channel address number.
(5) Substitute N with Nmid=50%NH+50%NL to obtain Emid:
The R. Klein model method is:
where a1–a5 are the coefficients to be determined. Here, a1 corresponds to Emid. Another fitting model in Ref.[36] is not applied as we neglect the collimation effect yet. The fitting range is the intercepted energy spectrum between CupL to CdownR.
The error function method is:
where erf is the standard error function, C0, C1, Emid and σ are the coefficients to be determined. This one is equivalent to the fitting function used in [42], and can be regarded as a simplified model of Eq. (5) with a4=0.
4 Simulation setup
The energy calibration method is tested with the data generated by an updated 4D Monte Carlo simulation code[43]. Main parameters of the laser and electron beams of SINAP III for the simulation are listed in Table 1.
| Parameters | Value |
|---|---|
| Electron energy /MeV | 180 |
| Energy spread | 0.1% |
| Emittance /mm·mrad | 6 |
| Bunch length(rms) /mm | σle = 0.72 |
| RMS beam size /mm | σwe=σhe= 20 |
| Laser wavelength /nm | 800 |
| Energy/pulse /mJ | 1.75 |
| Repetition rate /Hz | 1000 |
| Pulse length(rms) /ps | σlp =1 |
| RMS beam size /mm | σwp=σhp= 20 |
| Incident angle /° | 20, 45, 67.5, 90, 112.5, 135, 160 |
Ten system variables affecting the γ-ray spectrum are listed in Table 2, where the input value of each variable changes within its scan range, so that ΔEmax caused by systematic uncertainties of SINAP III can be simulated.
| System variables | Scan range |
|---|---|
| Laser incident angle θin /° | [θC−0.05, θC+0.05]* |
| Laser wavelength λ /nm | [797.5,802.5] |
| The center value of electron Energy Ee /MeV | [179.9,180.1] |
| Emittance ε /mm·mrad | [6,36] |
| Electron energy spread ΔE/E | [0.0005,0.0055] |
| Spot size of laser waist σl /μm | [20,70] |
| RMS beam size of electron σe /μm) | [20,70] (σe=σwe=σhe) |
| Deviation between laser pulse center and electron bunch in horizontal (Dx),vertical (Dy) and electron beam (Dz) directions | D x (μm): [−50,50] |
| Dy(μm):[−50,50] | |
| Dz(mm): [−1.5,1.5] |
5 Results and discussion
We will first demonstrate a rough estimation of ΔEmax at a certain incident angle, and then extend it to the whole adjustable angle range of SINAP III, i.e. [20°,160°]. Finally, consider the deviation correction and give a more accurate ΔEmax.
5.1. Estimation of ΔEmax at a certain incident angle
Let us demonstrate the calculation process in which laser incident angle is 90° as an example. All the system variables are set equal to the center values at the beginning. In order to evaluate the deviation between Emax and Emid caused by the variation of one particular system variable q, which is denoted as ΔEqmax, the scanned range of the concerned system variable is evenly divided into (m−1) intervals. Then the input value of the concerned system variable in the simulation will switch through the m endpoints of the intervals while the other system variables remain unchanged. Next, apply the three fitting methods mentioned in the previous section to the simulation data to get Emid. Finally, we obtained ΔEmax which is defined as the average deviation between Emax and Emid of the m samples.
where q∈(ε, ΔE/E, σ1, σe, Dx, Dy, Dz, θin, λ, Ee) and errEmid(qi) is the fitting error of Emid(qi).
Repeat the above steps through every system variable, the ΔEqmax caused by 10 system variables are collected and the δEqmax=ΔEqmax/Emax is calculated. The results are given in Table 3.
| System variables | Center value | Scan range | Linear fit method | Error function method | R.Klein model | |||
|---|---|---|---|---|---|---|---|---|
| ΔEqmax /eV | δEqmax /×10−5 | ΔEqmax /eV | δEqmax /×10−5 | ΔEqmax /eV | δEqmax /×10−5 | |||
| Ε /mm·mrad | 6 | [6, 36] | 44.7 | 11.6 | 107.4 | 28.0 | 55.1 | 14.4 |
| ΔE/E | 0.001 | [0.0005, 0.0055] | 125.4 | 32.7 | 65.7 | 17.1 | 146.5 | 38.2 |
| σl /μm | 20 | [20, 70] | 20.1 | 5.23 | 31.4 | 8.17 | 25.6 | 6.68 |
| σe /μm | 20 | [20, 70] | 30.2 | 7.88 | 46.7 | 12.2 | 46.4 | 12.1 |
| Dx /μm | 0 | [−50, 50] | 20.2 | 5.27 | 29.5 | 7.70 | 30.8 | 8.01 |
| Dy /μm | 0 | [−50, 50] | 29.2 | 7.61 | 54.3 | 14.1 | 55.7 | 14.5 |
| Dz /mm | 0 | [−1.5, 1.5] | 28.0 | 7.31 | 62.6 | 16.3 | 63.5 | 16.6 |
| θin /° | 90 | [89.95, 90.05] | 19.8 | 5.17 | 31.7 | 8.25 | 32.8 | 8.54 |
| λ /nm | 800 | [797.5, 802.5] | 20.5 | 5.35 | 32.7 | 8.53 | 32.7 | 8.52 |
| Ee /MeV | 180 | [179.9, 180.1] | 19.4 | 5.06 | 32.1 | 8.36 | 34.2 | 8.92 |
The total error ΔEmax and relative error δEmax can now be represented as the following equations,
The values of δEqmax in Table 3 are all less than 0.05%, so δEmax|θc=90°<101/2×0.05%=0.16%, which infers that Emid coincide well with Emax at θC=90°.
5.2. Estimation of ΔEmax from 20° to 160°
In order to test if Emid is always consistent with Emax in the other cases, the operations are repeated at θin= 20°–160°. As shown in Fig.3, the δEmax values are less than 1.6%, with the same scan ranges of systematic uncertainties as in θin=90°.
-201709/1001-8042-28-09-002/alternativeImage/1001-8042-28-09-002-F003.jpg)
5.3 Deviation correction
The above ΔEmax and δEmax need correction because Emax(qi) in Eq.(7) changes when different θin, λ and Ee are sampled due to Eq.(2). Take the deviation of Emax(qi) into consideration, a more precise ΔEmax expression can be obtained as:
where qex denotes the explicit variables of θin, λ and Ee, qim denotes the other implicit variables regarding Emax, and ∂Emax/∂qex is the partial derivative of Emax with respect to qex, as shown in Fig.4.
-201709/1001-8042-28-09-002/alternativeImage/1001-8042-28-09-002-F004.jpg)
It is worth mention that at θin =160° we can estimate the following rates from Fig.5(b) and 5(c),
-201709/1001-8042-28-09-002/alternativeImage/1001-8042-28-09-002-F005.jpg)
The two rates are consistent with the equation δEma/ΔEmax ≈ [(2σEe/Ee)2+(σEp/Ep)2]1/2 derived under head-on (θin=180°) LCS geometry[36]. According to design of the SINAPIII, typical values of δEe=0.1%, Δλ=1 nm and Δθin=0.01° are used. The ΔEmax and δEmax after correction are shown in Fig.5.
Compared with Fig.3, we can see that when the laser incident angle θin gets larger, δEe and Δλ contribute more to ΔEmax and δEmax. In fact, the two systematic uncertainties are almost dominating when θin> 60°. Over all, the δEmax is lower than 1.6% in the energy region of 25−300 keV, lower than 0.5% in the energy region of 300–740 keV, when the systematic uncertainties can be limited within the scan range in the calibration process.
6 Summary
More precise calibration of X/γ detectors in a wide energy range demands new tunable X/γ sources and new calibration methods. LCS light source is a suitable γ source candidate. Continuously changing the collision angle between laser and electron beam is one of the most effective ways to continuously change γ energy spectra’s high energy edges[44]. It takes advantage of the one-to-one correspondence of the laser-electron collision angle and the energy of the generated gamma spectrum’s Compton edge. In this work, an energy calibration method based on this technique is carried out. It can perform consecutive energy calibration with small energy gap in the neighborhood of a specific energy. This would eliminate the error from extrapolation, solve the problem of the deterioration of detector’s linearity and improve calibration accuracy. The uncertainty of this method for the X/γ detectors on SINAPIII facility is tested, which is lower than 1.6% in the energy region of 25–300 keV, and is lower than 0.5% in the energy region of 300–740 keV.
This energy calibration method could also be applied on the other LCS light sources with continuously variable laser incident angle. SINAP III is the prototype of the Shanghai Laser Electron Gamma Source [31, 32, 45-47] (SLEGS) on the storage ring of SSRF [48]. Once constructed, the larger energy region and higher repetition rates with lower systematic uncertainties of SLEGS will enable a faster and more precise energy calibration process for X/γ detectors.
Svom gamma-ray monitor
. Sci. Chin. Phys., Mechan. Astronomy, 53(1), 40-42 (2010). doi: 10.1007/s11433-010-0011-7Detection of a spectral break in the extra hard component of grb 090926a
. Astrophys. J., 729(2), 114 (2011). doi: 10.1088/0004-637X/729/2/114Radioactive elements on mercury’s surface from messenger: Implications for the planet’s formation and evolution
. Science, 333(6051), 1850-1852 (2011). doi: 10.1126/science.1211576The gemini plus high-purity Ge gamma-ray spectrometer: Instrument overview and science applications
.Rxte observations of qpos in the black hole candidate grs 1915+105
. The Astrophysical Journal, 482(2), 993 (1997). doi: 10.1086/304191Complete rxte spectral observations of the black hole X-ray nova xte j1550-564
. The Astrophysical Journal, 544(2), 993 (2000). doi: 10.1086/317229X-ray properties of black-hole binaries
. Annual Review of Astronomy and Astrophysics, 44(1), 49-92 (2006). doi: 10.1146/annurev.astro.44.051905.092532Gamma-ray spectral observations with yohkoh
. International Astronomical Union Colloquium, 142(639-643 (1994). doi: 10.1017/S0252921100077915Gamma-ray line observations of the 2000 July 14 flare and sep impact on the earth
. Solar Physics, 204(1), 41-53 (2001). doi: 10.1023/a:1014297617919The vela satellite program for detection of high-altitude nuclear detonations
. Proceedings of the IEEE, 53(12), 1935-1948 (1965). doi: 10.1109/PROC.1965.4470Energy and resolution calibration of nai(tl) and labr3(ce) scintillators and validation of an egs5 monte carlo user code for efficiency calculations
. Nucl Instru Meths in Phys. A, 675(78-83 (2012). doi: 10.1016/j.nima.2012.02.006X-ray and gamma-ray response of a 2″×2″ labr3:Ce scintillation detector
. Nucl Instru Meths in Phys. A, 574(1), 115-120 (2007). doi: 10.1016/j.nima.2007.01.161Measurements of high-energy-rays with detectors
. Nucl Instru Meths in Phys. A, 608(1), 76-79 (2009). doi: 10.1016/j.nima.2009.06.019Energy calibration of the newsubaru storage ring for laser compton-scattering gamma-rays and applications
. IEEE Transactions on Nuclear Science, 61(3), 1252-1258 (2014). doi: 10.1109/TNS.2014.2312323Precise γ-ray energies for calibration of Ge semiconductor spectrometers to 3.5 MeV
. Nuclear Instruments and Methods, 159(2), 465-482 (1979). doi: 10.1016/0029-554X(79)90675-XRecommended standards for γ-ray energy calibration
. Nucl Instru Meths in Phys. A, 422(1), 525-531 (1999). doi: 10.1016/S0168-9002(98)01079-1Calibration of soft X-ray detection with synchrotron radiation
. High Energy Physics and Nuclear Physics, 28(2), 205-209 (2004). doi: 10.3321/j.issn:0254-3052.2004.02.020High-energy scaling of compton scattering light sources
. Physical Review Special Topics - Accelerators and Beams, 8(10), 100702 (2005). doi: 10.1103/PhysRevSTAB.8.100702Synchrotron radiation: A continuing revolution in X-ray science—diffraction limited storage rings and beyond
. Journal of Electron Spectroscopy and Related Phenomena, 200(31-39 (2015). doi: 10.1016/j.elspec.2015.06.009A bremsstrahlung gamma-ray source based on stable ionization injection of electrons into a laser wakefield accelerator
. Nucl Instru and Meths in Phys. A, 830(515-519 (2016). doi: 10.1016/j.nima.2016.01.086Subpicosecond X-ray pulses
. Science, 274(5285), 201 (1996). doi: 10.1126/science.274.5285.201Pleiades: A picosecond compton scattering X-ray source for advanced backlighting and time-resolved material studies
. Physics of Plasmas, 11(5), 2857-2864 (2004). doi: 10.1063/1.1646160Design study of the compton backscattering photon beam facility at the pohang light source
. Nucl Instru and Meths in Phys. A, 528(1-2), 600-604 (2004). doi: 10.1016/j.nima.2004.04.110Considerations for the construction of a gammaray beamline at the canadian light source
. (2010). http://physics.usask.ca/chang/department/Wurtz.pdfExtreme light infrastructure-nuclear physics (eli-np): New horizons for photon physics in europe
. Nuclear Physics News, 21(1), 23-29 (2011). doi: 10.1080/10619127.2010.529741Proposal for the construction of a gamma-ray beam line at the spanish synchrotron alba. Consorcio para la construcción, equipamiento y explotación del laboratorio de luz sincrotrón CELLS-ALBA
, (2004). https://intranet.cells.es/static/Gamma_rays.pdfCompact X-ray source based on burst-mode inverse compton scattering at 100 kHz
. Physical Review Special Topics - Accelerators and Beams, 17(12), 120701 (2014). doi: 10.1103/PhysRevSTAB.17.120701Recent results from LEPS and prospects of LEPS II at SPring-8
. Nuclear Physics A, 914(543-552 (2013). doi: 10.1016/j.nuclphysa.2013.03.013Development of high intensity laser-electron photon beams up to 2.9 GeV at the SPring-8 LEPS beamline
. Nucl Instru Meths in Phys. A, 737(184-194 (2014). doi: 10.1016/j.nima.2013.11.039Generation of laser compton scattered gamma-rays from a 150 MeV microtron
.Shanghai laser electron gamma source (SLEGS)
. Nuclear Physics Review, 25(2), 129-134 (2008). http://www.npr.ac.cn/EN/Y2008/V25/I2/129A future laser compton scattering (LES) γ-ray source: SLAGS at SSRF
. Synchrotron Radiation News, 22(3), 11-20 (2009). doi: 10.1080/08940880902959759Daφne γ-rays factory
. IEEE Transactions on Nuclear Science, 63(2), 913-920 (2016). doi: 10.1109/TNS.2015.2488487Research opportunities at the upgraded his facility
. Progress in Particle and Nuclear Physics, 62(1), 257-303 (2009). doi: 10.1016/j.ppnp.2008.07.001Beam diagnostics at the BESSY I electron storage ring with Compton backscattered laser photons: Measurement of the electron energy and related quantities
. Nucl Instru Meths in Phys. A, 384(2), 293-298 (1997). doi: 10.1016/S0168-9002(96)00899-6Energy and energy spread measurements of an electron beam by compton scattering method
. Physical Review Special Topics - Accelerators and Beams, 12(6), 062801 (2009). doi: 10.1103/PhysRevSTAB.12.062801Dissertation characterizations and diagnostics of Compton light source
.Adjustable LCS γ source SINAP-III
Nuclear Physics Review, 29(3), 253-258 (2012). http://www.npr.ac.cn/EN/Y2012/V29/I3/253Interaction chamber design for an energy continuously tunable sub-MeV laser-Compton gamma-ray source
. IEEE Transactions on Nuclear Science, 63(2), 906-912 (2016). doi: 10.1109/TNS.2015.2496256A laser-Compton scattering prototype experiment at 100 MeV linac of Shanghai Institute of Applied Physics
. Review of Scientific Instruments, 81(1), 013304-013309 (2010). doi: 10.1063/1.3282445Generation of energy-tunable and ultra-short-pulse gamma-rays via inverse Compton scattering in an electron storage ring
. Nucl Instru Meths in Phys. A, 652(1), 696-700 (2011). doi: 10.1016/j.nima.2010.08.036Generation of high energy gamma-ray by laser Compton scattering of 1.94-μm fiber laser in UVSOR-III electron storage ring
. Energy Procedia, 89(335-345 (2016). doi: 10.1016/j.egypro.2016.05.044A 4d Monte Carlo laser-Compton scattering simulation code for the characterization of the future energy-tunable SLEGS
. Nucl Instru Meths in Phys. A, 660(1), 108-115 (2011). doi: 10.1016/j.nima.2011.09.035Study on energy variable laser-Compton gamma-ray with a fixed energy electron beam
. Journal of Nuclear Science and Technology, 44(5), 698-702 (2007). doi: 10.1080/18811248.2007.9711858A high intensity beam line of γ-rays up to 22 MeV energy based on Compton backscattering
. Nucl Instru Meths in Phys.A, 578(3), 457-462 (2007). doi: 10.1016/j.nima.2007.05.322A new study for 16 at the energies of nuclear astrophysics interest: The inverse of key nucleosynthesis reaction 12
. Nucl Instru and Meths in Phys. A, 581(3), 866-873 (2007). doi: 10.1016/j.nima.2007.08.078Transmutation of nuclear wastes using photonuclear reactions triggered by Compton backscattering photons at the Shanghai laser electron gamma source
. Chinese Physics C, 32(8), 677 (2008). doi: 10.1088/1674-1137/32/8/019Shanghai Synchrotron Radiation Facility
. Chinese Science Bulletin, 54(22), 4171 (2009). doi: 10.1007/s11434-009-0689-y

